Đề thi thử THPT Quốc gia môn Toán năm 2016 trường THPT Lý Tự Trọng, Bình Định (Lần 1)
Đề thi thử THPT Quốc gia môn Toán năm 2016
Đề thi thử THPT Quốc gia môn Toán năm 2016 trường THPT Lý Tự Trọng, Bình Định (Lần 1) là đề thi thử đại học môn Toán có đáp án được VnDoc.com sưu tầm và đăng tải. Đây là tài liệu hay dành cho các bạn tham khảo luyện thi đại học môn Toán cũng như ôn thi THPT Quốc gia môn Toán được chắc chắn và hiệu quả nhất.
Đề thi thử THPT Quốc gia môn Toán năm 2016 trường THPT Lý Tự Trọng, Nam Định (Lần 1)
Đề thi thử THPT Quốc gia năm 2016 môn Toán trường THPT Việt Trì, Phú Thọ (Lần 3)
| SỞ GD & ĐT BÌNH ĐỊNH
TRƯỜNG THPT LÝ TỰ TRỌNG
|
ĐỀ THI THỬ KỲ THI THPT QUỐC GIA NĂM 2015-2016 Môn: TOÁN Thời gian làm bài 180 phút |
Câu 1. (1,0 điểm) Khảo sát sự biến thiên và vẽ đồ thị của hàm số y = x4 - 4x2.
Câu 2. (1,0 điểm) Tìm giá trị lớn nhất và giá trị nhỏ nhất của hàm số f(x) = x3 - 6x + 1 trên đoạn [0; 2].
Câu 3. (1,0 điểm)
a) Cho số phức z thỏa mãn
. Tìm môđun của z.
b) Giải phương trình 42x-2 - 17.4x-2 + 1 = 0.
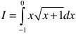
Câu 4. (1,0 điểm) Tính tích phân:
.
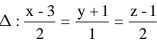
Câu 5. (1,0 điểm) Trong không gian với hệ toạ độ Oxyz, cho điểm M (1; 2; -3) và đường thẳng
. Tìm tọa độ hình chiếu vuông góc H của M lên ∆. Viết phương trình mặt phẳng (P) chứa M và ∆ .
Câu 6. (1,0 điểm)
a) Cho góc α ∈ (π/2; π) thỏa mãn sinα = 4/5. Tính giá trị của ![]()
b) Trên giá sách có 4 quyển sách Toán, 3 quyển sách Lý, và 2 quyển sách Hóa. Lấy ngẫu nhiên 3 quyển sách. Tính xác suất sao cho 3 quyển lấy ra có ít nhất 1 quyển sách Toán.
Câu 7. (1,0 điểm) Cho hình chóp S.ABC có đáy ABC là tam giác vuông cân với AB = BC = a, cạnh bên SA = 2a và vuông góc với đáy. Gọi M là trung điểm AC. Tính theo a thể tích khối chóp S.ABC và khoảng cách giữa hai đường thẳng SM và BC.
Câu 8. (1,0 điểm) Trong mặt phẳng tọa độ Oxy, cho hình vuông ABCD có đỉnh A(-6; 6) và điểm E thuộc cạnh BC. Đường thẳng qua A và vuông góc với AE cắt CD tại F. Điểm M (−4; 2) là trung điểm của EF, đường thẳng AM cắt CD tại K(-3; 0). Tìm tọa độ điểm D, biết điểm E có tung độ dương.
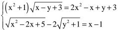
Câu 9. (1,0 điểm) Giải hệ phương trình 
Câu 10. (1,0 điểm) Cho các số thực dương a, b, c thỏa mãn a2 + b2 + c2 +2ab = 3(a + b + c).
Tìm giá trị nhỏ nhất của biểu thức:
.
Đáp án đề thi thử THPT Quốc gia môn Toán năm 2016




