Đề thi thử THPT Quốc gia năm 2016 môn Toán trường THPT Chuyên Võ Nguyên Giáp, Quảng Bình
Đề thi thử THPT Quốc gia năm 2016 môn Toán
Đề thi thử THPT Quốc gia năm 2016 môn Toán trường THPT Chuyên Võ Nguyên Giáp, Quảng Bình được VnDoc.com sưu tầm và đăng tải, với 10 câu hỏi tự luận được ra theo cấu trúc thi THPT Quốc gia 2016 của Bộ Giáo dục và Đào tạo, giúp các bạn học sinh luyện tập và củng cố kiến thức, luyện thi đại học môn Toán hiệu quả. Mời các bạn tham khảo.
Đề thi thử THPT Quốc gia lần 1 năm 2015 môn Toán trường THPT Chuyên Võ Nguyên Giáp, Quảng Bình
Tổng hợp hơn 230 đề thi thử THPT Quốc gia môn Toán năm 2016 các trường THPT trên toàn quốc
| SỞ GD & ĐT QUẢNG BÌNH
TRƯỜNG THPT CHUYÊN VÕ NGUYÊN GIÁP |
ĐỀ THI THỬ TN THPT NĂM HỌC 2015-2016
Thời gian 180 phút (không kể thời gian phát đề) MÔN: TOÁN |
Câu 1 (1,0 điểm). Khảo sát sự biến thiên và vẽ đồ thị hàm số y = x3 - 3x2 + 2.
Câu 2 (1,0 điểm). Tìm giá trị lớn nhất và giá trị nhỏ nhất của hàm số
trên đoạn [1; 3].
Câu 3 (1,0 điểm).
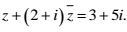
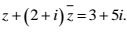
a. Cho số phức z thỏa mãn điều kiện
Tìm phần thực và phần ảo của số phức z.
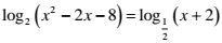
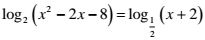
b. Giải phương trình: ![]()
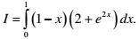
Câu 4 (1,0 điểm). Tính tích phân ![]()
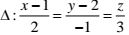
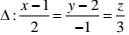
Câu 5 (1,0 điểm). Trong không gian với hệ tọa độ Oxyz, cho đường thẳng
và mặt phẳng (P): 2x - y - 2z + 1 = 0. Viết phương trình đường thẳng d đi qua điểm A(3; -1; 2), cắt đường thẳng Δ và song song với mặt phẳng (P).
Câu 6 (1,0 điểm).
a. Tính giá trị biểu thức
, biết cosα = 3/2.
b. Giải bóng chuyền VTV Cup gồm 12 đội bóng tham dự, trong đó có 9 đội nước ngoài và 3 đội của Việt Nam. Ban tổ chức cho bốc thăm ngẫu nhiên để chia thành 3 bảng A, B, C mỗi bảng 4 đội. Tính xác suất để 3 đội bóng của Việt Nam có ở ba bảng khác nhau.
Câu 7 (1,0 điểm) Cho hình chóp S.ABCD có đáy ABCD là hình vuông cạnh a. Gọi I là trung điểm AB, H là giao điểm của BD với IC. Các mặt phẳng (SBD) và (SIC) cùng vuông góc với đáy. Góc giữa (SAB) và (ABCD) là 60o. Tính thể tích khối chóp S.ABCD và khoảng cách giữa hai đường thẳng SA và IC.
Câu 8 (1,0 điểm) Trong mặt phẳng với hệ trục tọa độ Oxy, cho hình vuông ABCD, điểm E thuộc cạnh BC, phân giác trong góc BAE cắt cạnh BC tại F(-1; -2). Đường thẳng qua F vuông góc với AE cắt cạnh CD tại K. Phương trình đường thẳng AK là x + 2y - 5 = 0. Tìm tọa độ các đỉnh của hình vuông biết AE đi qua gốc tọa độ O và điểm A có hoành độ âm.
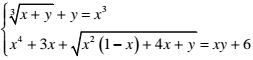
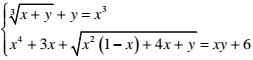
Câu 9 (1,0 điểm) Giải hệ phương trình 
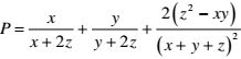
Câu 10 (1,0 điểm) Cho các số thực dương x, y, z. Tìm giá trị nhỏ nhất của biểu thức:

-----HẾT-----