Đề thi Violympic Toán lớp 8 vòng 3 năm 2016 - 2017
Đề thi Violympic Toán lớp 8 vòng 3
Đề thi Violympic Toán lớp 8 vòng 3 năm 2016 - 2017 là đề thi giải Toán qua mạng có đáp án đi kèm, hi vọng giúp các em học sinh ôn tập và củng cố kiến thức, nhằm đạt kết quả cao trong các vòng tiếp theo của cuộc thi Violympic giải Toán qua mạng năm học 2016 - 2017.
Đề thi Violympic Toán lớp 8 vòng 1 năm 2016 - 2017
Đề thi Violympic Toán lớp 8 vòng 2 năm 2016 - 2017
Đề thi Violympic môn Toán lớp 8 vòng 3 năm học 2016 - 2017 trực tuyến
Đề thi Violympic môn Toán lớp 8 vòng 3 năm 2016 - 2017
Bài 1: Tìm cặp bằng nhau
Bài 2: Vượt chướng ngại vật
Câu 1: Cần điền biểu thức nào dưới đây vào chỗ chấm trong biểu thức x3 ... để được kết quả bằng (x - 1/3)3
a) -x2 + 1/3x = 1/27 b) -1/27
c) -3x2 + 1/3x - 1/27 d) -3x2 + x - 1/27
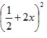
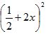
Câu 2: Kết quả của phép tính 
a) 1/4 + 2x + 2x2 b) 1/4 + 4x2
c) 1/4 + 4x + 4x2 d)1/4 + 2x + 4x2
Câu 3: Biểu thức rút gọn của P = (x + y)2 + (x - y)2 + 2(x+y)(x-y) là:...
a) 0 b) 4y2 c) 4x2 d) 2x2
Câu 4: Đa thức -8x3 + 12x2y - 6xy2 + y2 được thu gọn là
a) (2x - y)3 b) -(2x - y)3 c) (-2x + y)3 d) (2x + y)3
Câu 5: Giá trị của biểu thức (625 + 3) (252 - 3) - 58 + 10 là
a) 10 b) 1 c) -9 d) 25
Bài 3: Điền kết quả thích hợp vào chỗ (...)
Câu 1: Giá trị của x thỏa mãn (x + 3) (x2 - 3x + 9) - 54 = 0 là ......
Câu 2: Giá trị của x > 0 thỏa mãn đẳng thức (x - 2)2 = 4 là ......
Câu 3: Giá trị của biểu thức P = x3 + 3x2 + 3x + 1 tại x = 1 là ......
Câu 4: Tổng các hệ số của đa thức (3x + 1)2 khi khai triển là ......
Câu 5: Giá trị của đa thức (x - y) (x2 + xy + y2) + (x + y) (x2 - xy + y2) tại x =1 và y = 2,016 là ......
Câu 6: Với x - y = 1, giá trị của biểu thức x3 - y3 - 3xy = ......
Câu 7: Giá trị nhỏ nhất của biểu thức A = (x - 3)2 + 21 = ......
Câu 8: Biểu thức Q = 532 - 24(52 + 1) (54 + 1) (58 + 1) (516 + 1) có giá trị là ......
Câu 9: Biết x2 + y2 + z2 + 2x - 4y + 6z = -14. Khi đó x + y + z có giá trị là ......
Câu 10: Cho x + y = 3 và x2 + y2 = 5. Khi đó x3 + y3 = ......
Đáp án đề thi Violympic Toán lớp 8 vòng 3
Bài 1: Tìm cặp bằng nhau
4 = 6; 3 = 10; 7 = 9; 1 = 5; 2 = 8
Bài 2: Vượt chương ngại vật
Câu 1: a Câu 2: d
Câu 3: c Câu 4: c Câu 5: b
Bài 3: Điền kết quả thích hợp vào chỗ (...)
Câu 1: 3 Câu 2: 4 Câu 3: 8 Câu 4: 16 Câu 5: 2
Câu 6: 1 Câu 7: 21 Câu 8: 1 Câu 9: -2 Câu 10: 9
