Giao diện mới của VnDoc Pro: Dễ sử dụng hơn - chỉ tập trung vào lớp bạn quan tâm. Vui lòng chọn lớp mà bạn quan tâm: Lưu và trải nghiệm
Đóng
Điểm danh hàng ngày
  • Hôm nay +3
  • Ngày 2 +3
  • Ngày 3 +3
  • Ngày 4 +3
  • Ngày 5 +3
  • Ngày 6 +3
  • Ngày 7 +5
Bạn đã điểm danh Hôm nay và nhận 3 điểm!
Nhắn tin Zalo VNDOC để nhận tư vấn mua gói Thành viên hoặc tải tài liệu Hotline hỗ trợ: 0936 120 169

Đề thi Violympic Toán lớp 7 vòng 17 năm 2015 - 2016

Lớp: Lớp 7
Môn: Toán
Loại File: Word + PDF
Phân loại: Tài liệu Tính phí

Đề thi Violympic Toán lớp 7 vòng 17

Đề thi Violympic Toán lớp 7 vòng 17 năm 2015 - 2016 là đề thi giải Toán qua mạng có đáp án đi kèm, hi vọng giúp các em học sinh ôn tập và củng cố kiến thức, nhằm đạt kết quả cao trong các vòng tiếp theo của cuộc thi Violympic giải Toán qua mạng năm học 2015 - 2016.

Đề thi Violympic Toán lớp 7 vòng 15 năm 2015 - 2016

Đề thi Violympic Toán lớp 7 vòng 16 năm 2015 - 2016

Mời làm: Đề thi Violympic Toán lớp 7 vòng 17 năm 2015 - 2016 trực tuyến

Bài 1: Cóc vàng tài ba

Câu 1.1: Nếu tam giác ABC có góc A = 50o và AB = AC thì góc B = .......o.

a. 50o b. 55o c. 75o d. 65o

Câu 1.2: Hai lớp 7A và 7B có tất cả 65 học sinh. Biết rằng số học sinh của hai lớp lần lượt tỉ lê với 6 và 7. Số học sinh lớp 7A là:

a. 35 học sinh b. 36 học sinh c. 24 học sinh d. 30 học sinh

Câu 1.3: Tam giác ABC có góc A = 70o; góc B lớn hớn góc C là 50o. Số đo góc C bằng:

a. 50o b. 40o c. 30o d. 80o

Câu 1.4: Tính: (23)2 = ............

a. 512 b. 36 c. 128 d. 64

Câu 1.5: Tìm x biết: x + 2x + 3x + .... = 2016x = 2017.2018

a. 1009/504 b . 1009//1008 c. 505/504 d. 2017/2016

Câu 1.6: Biết: (2x - 1)2016 + (3y + 6)2014 + (z - 1)2012 = 0. Vậy 4x + y - 3z = .........

a. 0 b. 3 c. 1 d. -3

Câu 1.7: Cho hai số x; y biết x/y = 5/7 và x + y = 72. Vậy 2x - 3y = .....

a. 30 b. -66 c. -44 d. 40

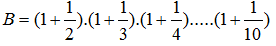
Câu 1.8: Với x nguyên, giá trị lớn nhất của biểu thứcĐề thi violympic toán lớp 7 vòng 17 là:

a. 2013 b. 2016 c. 2015 d. 2011

Câu 1.9: Số giá trị của x thỏa mãn 2015.Ι1 - xΙ + (x - 1) = 2016.Ιx - 1Ι là ......

a. 0 b. 1 c. 3 d. 2

Câu 1.10: Số dư của A = 3n + 3 + 2n + 3 + 3n + 1 + 2n + 2 khi chia cho 6 là:

a. 0 b. 2 c. 1 d. 3

Bài 2: Đi tìm kho báu

Câu 2.1: Tập hợp các số nguyên x thỏa mãn x2 - 4x = 0 là {.....}

Câu 2.2: Tập hợp các số nguyên x thỏa mãn x2 - 3 < 0 là {.......}

Câu 2.3: Cho đa thức f(x) = ax + bx + c trong đó a, b, c là các số cho trước. Nếu f(1) = 0 thì ta có a + b + c + 3 = ...........

Câu 2.4: Rút gọn biểu thức: Đề thi violympic toán lớp 7 vòng 17

Câu 2.5: Tập hợp các số nguyên a sao cho 3 chia hết cho a - 2 là {..........}

Bài 3: Hãy điền số thích hợp vào chỗ chấm

Câu 3.1: Số các giá trị nguyên của x thỏa mãn ΙxΙ ≤ 5 là ........

Câu 3.2: Phân số có giá trị bằng phân số 4/6 và có tổng tử và mẫu bằng 15 thì phân số đó có mẫu bằng ........

Câu 3.3: Tập hợp các số nguyên x đểĐề thi violympic toán lớp 7 vòng 17 là: {........}

Câu 3.4: Số các số hữu tỉ âm có mẫu bằng 9 và lớn hơn -1 là ..........

Câu 3.5: Tam giác ABC có AB = 2cm; AC = 2cm; BC = 2√2cm thì góc C bằng .........o.

Câu 3.6: Số các giá trị của x để (x - 4)(x2 + 16)(x2 - 16)(x + 1) = 0 là ..........

Câu 3.7: Số các số nguyên m để giá trị của biểu thức m - 1 chia hết cho giá trị của biểu thức 2m + 1 là: ..........

Câu 3.8: Giá trị lớn nhất của biểu thức P = -2x2 + 17 là ........

Câu 3.9: Ba nhóm học sinh có 39 em. Mỗi nhóm phải trồng một số cây như nhau. Nhóm 1 trồng trong 2 ngày, nhóm 2 trồng trong 3 ngày, nhóm 3 trồng trong 4 ngày. Số học sinh nhóm 1 là .......... học sinh.

Câu 3.10: Cho x; y là các số thỏa mãn (x + 2y - 3)2016 + Ι2x + 3y - 5Ι = 0. Vậy (x; y) = ..........

Đáp án đề thi Violympic Toán lớp 7 vòng 17

Bài 1: Cóc vàng tài ba

Câu 1.1: d

Câu 1.2: d

Câu 1.3: c

Câu 1.4: a

Câu 1.5: a

Câu 1.6: d

Câu 1.7: b

Câu 1.8: d

Câu 1.9: c

Câu 1.10: a

Bài 2: Đi tìm kho báu

Câu 2.1: 0; 4

Câu 2.2: -1; 0; 1

Câu 2.3: 3

Câu 2.4: 11/2

Câu 2.5: -1; 1; 3; 5

Bài 3: Hãy điền số thích hợp vào chỗ chấm

Câu 3.1: 9

Câu 3.2: 9

Câu 3.3: -3; -2

Câu 3.4: 8

Câu 3.5: 45

Câu 3.6: 3

Câu 3.7: 4

Câu 3.8: 17

Câu 3.9: 18

Câu 3.10: 1; 1

Chọn file muốn tải về:
Đóng Chỉ thành viên VnDoc PRO/PROPLUS tải được nội dung này!
Đóng
79.000 / tháng
Đặc quyền các gói Thành viên
PRO
Phổ biến nhất
PRO+
Tải tài liệu Cao cấp 1 Lớp
30 lượt tải tài liệu
Xem nội dung bài viết
Trải nghiệm Không quảng cáo
Làm bài trắc nghiệm không giới hạn
Mua cả năm Tiết kiệm tới 48%

Có thể bạn quan tâm

Xác thực tài khoản!

Theo Nghị định 147/2024/ND-CP, bạn cần xác thực tài khoản trước khi sử dụng tính năng này. Chúng tôi sẽ gửi mã xác thực qua SMS hoặc Zalo tới số điện thoại mà bạn nhập dưới đây:

Số điện thoại chưa đúng định dạng!
Số điện thoại này đã được xác thực!
Bạn có thể dùng Sđt này đăng nhập tại đây!
Lỗi gửi SMS, liên hệ Admin
Sắp xếp theo
🖼️

Toán 7

Xem thêm
🖼️

Gợi ý cho bạn

Xem thêm