Đề thi Violympic Toán lớp 7 vòng 9 năm 2015 - 2016
Đề thi Violympic Toán lớp 7 vòng 9
Đề thi Violympic Toán lớp 7 vòng 9 năm 2015 - 2016 là đề thi giải Toán qua mạng có đáp án đi kèm, hi vọng giúp các em học sinh ôn tập và củng cố kiến thức, nhằm đạt kết quả cao trong các vòng tiếp theo của cuộc thi Violympic giải Toán qua mạng năm học 2015 - 2016.
Bộ đề thi Violympic Toán lớp 7 năm 2015 - 2016
Đề thi Violympic Toán lớp 7 vòng 7 năm 2015 - 2016
Đề thi Violympic Toán lớp 7 vòng 8 năm 2015 - 2016
Đề thi Violympic Toán lớp 7 vòng 9 năm 2015 - 2016 trực tuyến
Bài 1: Sắp xếp các giá trị theo thứ tự tăng dần

Bài 2: Đỉnh núi trí tuệ
Câu 2.1: Cho B là điểm thuộc đồ thị hàm số y = 2x. Biết tung độ của B bằng 6. Khi đó hoành độ của điểm B là:.......
Câu 2.2: Biết (-1/2)n = 1/64. Vậy n = ..............
Câu 2.3: Tìm x < 0 biết 
Câu 2.4: Điền kết quả thích hợp vào dấu ".....":
√(-3)2 = ..........
Câu 2.5: Biết 2x = 3y = 4z. Khi đó ta có x/6 = y/4 = z/...
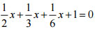
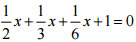
Câu 2.6: Cho số x thỏa mãn
. Khi đó x = ................
Câu 2.7: Tìm x biết IxI - x = 16
Câu 2.8: Cho n là số tự nhiên lẻ. Tìm x biết (2x - 3)n = 5n
Câu 2.9: Cho bốn số a; b; c; d sao cho a + b + c + d ≠ 0. Biết
. Khi đó k = ............
Câu 2.10: Cho x, y là các số thỏa mãn: Ix - 2I + (y + 1)2 = 0. Khi đó x + y = ...........
Bài 3: Hãy điền số thích hợp vào chỗ (...)
Câu 3.1: Số chữ số của 1011 là: .............
Câu 3.2: Biết đại lượng y tỉ lệ nghịch với đại lượng x theo hệ số tỉ lệ k = 3. Vậy đại lượng x tỉ lệ nghịch với đại lượng y theo hệ số tỉ lệ k' = ..............
Câu 3.3: Cho ΔABC = ΔMNP. Biết góc A = 45o, góc P = 60o. Khi đó góc B = ............ o
Câu 3.4: Cho biết x và y là hai đại lượng tỉ lệ nghịch và khi x = 1/2 thì y = 2. Vậy hệ số tỉ lệ của y đối với x là: k =.........
Câu 3.5: Cho biết x và y là hai đại lượng tỉ lệ nghịch và khi x = 4 thì y = 2. Vậy hệ số tỉ lệ của x đối với y là: k =.....
Câu 3.6: Số 1,6(2) khi viết dưới dạng phân số tối giản sẽ có mẫu bằng.......
Câu 3.7: Cho x, y là các số khác 0. Nếu x + y = xy thì 1/x + 1/y =......
Câu 3.8: Tập các giá trị nguyên của x thỏa mãn đẳng thức x = √x là S = {........}
Câu 3.9: Số x dương mà x/100 = 25/x là số: ............
Câu 3.10: Biết n là số tự nhiên và 1/3 < (1/3)n ≤ 1. Vậy n = .................
Đáp án đề thi Violympic Toán lớp 7 vòng 9
Bài 1: Sắp xếp các giá trị theo thứ tự tăng dần
(4) < (3) < (5) < (9) < (1) < (7) < (8) < (6) < (2) < (10)
Bài 2: Đỉnh núi trí tuệ
Câu 2.1: 3 Câu 2.2: 6 Câu 2.3: -10 Câu 2.4: 3 Câu 2.5: 3
Câu 2.6: -1 Câu 2.7: -8 Câu 2.8: 4 Câu 2.9: 3 Câu 2.10: 1
Bài 3: Hãy điền số thích hợp vào chỗ (...)
Câu 3.1: 12 Câu 3.2: 3 Câu 3.3: 75 Câu 3.4: 1 Câu 3.5: 2
Câu 3.6: 45 Câu 3.7: 1 Câu 3.8: 0;1 Câu 3.9: 50 Câu 3.10: 0