Đề thi Violympic Toán lớp 8 vòng 13 năm 2015 - 2016
Đề thi Violympic Toán lớp 8 vòng 13
Đề thi Violympic Toán lớp 8 vòng 13 năm 2015 - 2016 là đề thi giải Toán qua mạng có đáp án đi kèm, hi vọng giúp các em học sinh ôn tập và củng cố kiến thức, nhằm đạt kết quả cao trong các vòng tiếp theo của cuộc thi Violympic giải Toán qua mạng năm học 2015 - 2016.
Đề thi Violympic Toán lớp 8 vòng 11 năm 2015 - 2016
Đề thi Violympic Toán lớp 8 vòng 12 năm 2015 - 2016
Đề thi Violympic Toán lớp 8 vòng 13 năm 2016 - 2017
Mời làm: Đề thi Violympic Toán lớp 8 vòng 13 năm 2015-2016 trực tuyến
Bài 1: Sắp xếp các giá trị theo thứ tự tăng dần.

Bài 2: Vượt chướng ngại vật
Câu 2.1: Rút gọn biểu thức (x + y + z)2 - x2 - y2 - z2 ta được:
a. −2(xy + yz + zx) b. 0
c. xy + yz + zx d. 2(xy + yz + zx)
Câu 2.2: Số giá trị nguyên của x để biểu thức
đạt giá trị nguyên là:
a. 8 b. 4 c. 5 d. 6
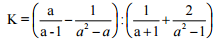
Câu 2.3: Rút gọn biểu thức
ta được:
a. a - 1/a b. (a + 1)/a
c. (a - 1)/a d. a + 1/a
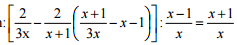
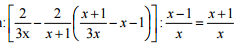
Câu 2.4: Số nghiệm của phương trình:
là:
a. 3 b. 0 c. 1 d. 2
Câu 2.5: Cho tam giác ABC vuông cân tại C. M là một điểm trên cạnh AB. Kẻ MI vuông góc với AC, MK vuông góc với BC. Gọi O là trung điểm của AB. Khi đó OIK là tam giác gì?
a. Cân tại O
b. Vuông cân tại O
c. Vuông tại O
d. Vuông cân tại K
Bài 3: Đỉnh núi trí tuệ
Câu 3.1: Phân tích đa thức 8x2 - 2 thành nhân tử ta được:
a. 2(4x - 1)(4x + 1) b. 2(2x - 1)(2x + 1)
c. (2x - 1)(2x + 1) d. 2(x - 1)(4x + 1)
Câu 3.2: Thực hiện phép tính 5x2 với 4x2 - 2x + 5 ta được:
a. 20x4 - 10x + 25x2 b. 20x4 - 10x3 + 25
c. 20x4 + 10x3 + 25x2 d. 20x4 - 10x3 + 25x2
Câu 3.3: Điều kiện xác định của biểu thức:
là:
a. x ≠ ± 3/2 b. x ≠ 1,5
c. x ≠ ± 2/3 d. x ≠ -1,5
Câu 3.4: Giá trị của biểu thức
tại x = 3 là:
a. -1 b. 1 c. 2 d. -2
Câu 3.5: Số giá trị của x để phân thức
có giá trị bằng 2 là:
a. 1 b. 3 c. 2 d. 0
Câu 3.6: Cho biểu thức
. Giá trị của biểu thức P tại x thỏa mãn x2 - 6x + 9 = 0 là:
a. -15 b. 15 c. 5 d. -5
Câu 3.7: Để P = x3 + x2 - 11x + m chia hết cho Q = x - 2 thì khi đó:
a. m = 10 b. m = 12 c. m = -10 d. m = 22
Câu 3.8: Giá trị của biểu thức A = 202 - 192 + 182 - 172 + ...... + 22 - 12 là:
a. 120 b. 102 c. 201 d. 210
Câu 3.9: Giá trị lớn nhất của biểu thức
là:
a. 3 b. 2 c. 6 d. 4
Câu 3.10: Biết b ≠ ± 3a và 6a2 - 15ab + 5b2 = 0. Khi đó giá trị của biểu thức
là:
a. 0 b. 2 c. 1 d. 3
Đáp án đề thi Violympic Toán lớp 8 vòng 13
Bài 1: Sắp xếp các giá trị theo thứ tự tăng dần
(3) < (2) < (10) < (4) < (8) < (7) < (1) < (9) < (6) < (5)
Bài 2: Vượt chướng ngại vật
Câu 2.1: d
Câu 2.2: b
Câu 2.3: a
Câu 2.4: b
Câu 2.5: b
Bài 3: Đỉnh núi trí tuệ
Câu 3.1: b
Câu 3.2: d
Câu 3.3: a
Câu 3.4: d
Câu 3.5: c
Câu 3.6: c
Câu 3.7: a
Câu 3.8: d
Câu 3.9: a
Câu 3.10: c