Giải bài tập SBT Toán 9 bài 2: Căn thức bậc hai và hằng đẳng thức
Bài tập môn Toán lớp 9
Giải bài tập SBT Toán 9 bài 2: Căn thức bậc hai và hằng đẳng thức được VnDoc sưu tầm và đăng tải, tổng hợp lý thuyết. Đây là lời giải hay cho các câu hỏi trong sách bài tập nằm trong chương trình giảng dạy môn Toán lớp 9. Hi vọng rằng đây sẽ là những tài liệu hữu ích trong công tác giảng dạy và học tập của quý thầy cô và các em học sinh.
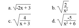
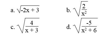
Câu 1: Tìm x để căn thức sau có nghĩa:

Lời giải:

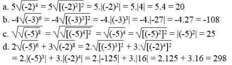
Câu 2: Rút gọn rồi tính:

Lời giải:

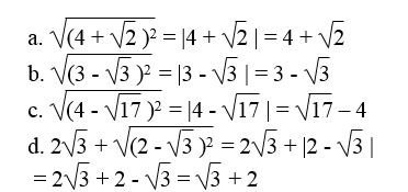
Câu 3: Rút gọn các biểu thức sau:

Lời giải:

Câu 4: Chứng minh:

Lời giải:
a, Ta có:
VT = 9 + 4√5 = 4 + 2.2√5 + 5 = 22 + 2.2√5 + (√5)2 = (2 + √5)2
Vế trái bằng vế phải nên đẳng thức được chứng minh.

Câu 5: Biểu thức sau đây xác định với giá trị nào của x?

Lời giải:


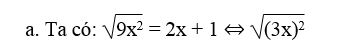
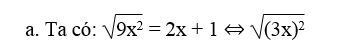
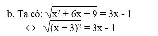
Câu 6: Tìm x, biết:

Lời giải:
![]()
= 2x + 1 ⇔ |3x| = 2x + 1 (1)
* Trường hợp 1: 3x ≥ 0 ⇔ x ≥ 0 ⇒ |3x| = 3x
Suy ra: 3x = 2x + 1 ⇔ 3x - 2x = 1 ⇔ x = 1
Giá trị x = 1 là nghiệm của phương trình (1).
* Trường hợp 2: 3x < 0 ⇔ x < 0 ⇒ |3x| = -3x
Suy ra: -3x = 2x + 1 ⇔ -3x - 2x = 1 ⇔ -5x = 1 ⇔ x = - 1/5
Giá trị x = - 1/5 thỏa mãn điều kiện x < 0
Vậy x = - 1/5 là nghiệm của phương trình (1).
Vậy x = 1 và x = - 1/5

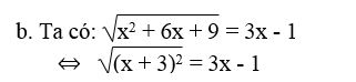
⇔ |x + 3| = 3x - 1 (2)
* Trường hợp 1: x + 3 ≥ 0 ⇔ x ≥ -3 ⇒ |x + 3| = x + 3
Suy ra: x + 3 = 3x - 1 ⇔ x - 3x = -1 - 3 ⇔ -2x = -4 ⇔ x = 2
Giá trị x = 2 thỏa mãn điều kiện x ≥ -3.
Vậy x = 2 là nghiệm của phương trình (2).
* Trường hợp 2: x + 3 < 0 ⇔ x < -3 ⇒ |x + 3| = -x - 3
Suy ra: -x - 3 = 3x - 1 ⇔ -x - 3x = -1 + 3 ⇔ -4x = 2 ⇔ x = -0.5
Giá trị x = -0,5 không thỏa mãn điều kiện x < -3: loại
Vậy x = 2

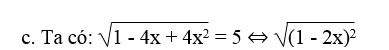
= 5 ⇔ |1 - 2x| = 5 (3)
* Trường hơp 1: 1 - 2x ≥ 0 ⇔ 2x ≤ 1 ⇔ x ≤ 1/2 ⇒ |1 - 2x| = 1 - 2x
Suy ra: 1 - 2x = 5 ⇔ -2x = 5 - 1 ⇔ x = -2
Giá trị x = -2 thỏa mãn điều kiện x ≤ 1/2
Vậy x = -2 là nghiệm của phương trình (3).
* Trường hợp 2: 1 - 2x < 0 ⇔ 2x > 1 ⇔ x > 12 ⇒ |1 - 2x| = 2x - 1
Suy ra: 2x - 1 = 5 ⇔ 2x = 5 + 1 ⇔ x = 3
Giá trị x = 3 thỏa mãn điều kiện x > 1/2
Vậy x = 3 là nghiệm của phương trình (3).
Vậy x = -2 và x = 3.
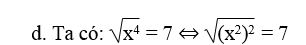
![]()
⇔ |x2| = 7 ⇔ x2 = 7
Vậy x = √7 và x = - √7 .
Câu 7: Phân tích thành nhân tử:
a. x2- 7 b. x2 - 2√2 x + 2 c. x2 + 2√13 x + 13
Lời giải:
a, Ta có: x2 - 7 = x2 - (√7)2 = (x + √7)(x - √7)
b, Ta có: x2 - 2√2 x + 2 = x2 - 2.x.√2 + (√2)2 = (x - √2)2
c, Ta có: x2 + 2√13 x + 13 = x2 + 2.x.√13 + (√13)2 = (x + √13)2