Hóa học 11 Bài 19: Luyện tập. Tính chất của cacbon, silic và các hợp chất của chúng
Lý thuyết Hóa học 11 Bài 19
VnDoc.com xin gửi tới bạn đọc bài viết Hóa học 11 Bài 19: Luyện tập. Tính chất của cacbon, silic và các hợp chất của chúng. Mời các bạn cùng tham khảo chi tiết.
| Cacbon | Silic | |
| Đơn chất |
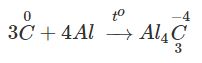
Các dạng thù hình: kim cương, than chì, fuleren, ... Cacbon chủ yếu thể hiện tính khử: ![]() Cacbon còn thể hiện tính oxi hóa: ![]() |
Các dạng thù hình: silic tinh thể và silic vô định hình. Silic thể hiện tính khử: ![]() Silic thể hiện tính oxi hóa: ![]() |
| Oxit |
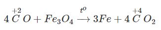
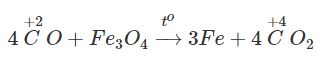
CO, CO2 ![]() CO2: - là oxit axit. ![]() - tan trong nước, tạo ra dung dịch axit cacbonic. |
SiO2 - Tác dụng với kiềm nóng chảy: - Tác dụng với dung dịch axit HF: |
| Axit |
Axit cacbonic (H2CO3) - Không bền, phân hủy thành CO2 và H2O. - Là axit yếu, trong dung dịch phân li hai nấc. |
Axit silixic (H2SiO3) - Là axit rất yếu, yếu hơn cả axit cacbonic. |
| Muối |
Muối cacbonat - Muối cacbonat của kim loại kiềm dễ tan trong nước và bền với nhiệt. Các muối cacbonat khác ít tan và bị nhiệt phân: - Muối hiđrocacbonat dễ tan và dễ bị nhiệt phân: |
Muối silicat - Muối silicat của kim loại kiềm dễ tan trong nước. - Dung dịch đậm đặc của Na2SiO3, K2SiO3 được gọi là thủy tinh lỏng, có nhiều ứng dụng trong thực tế. |
VnDoc.com xin gửi tới bạn đọc bài viết Hóa học 11 Bài 19: Luyện tập. Tính chất của cacbon, silic và các hợp chất của chúng. Hi vọng qua bài viết này bạn đọc có thêm tài liệu để học tập tốt hơn môn Hóa học lớp 11 nhé. Mời các bạn cùng tham khảo thêm tài liệu học tập Lý thuyết Hóa học 11...





