Hóa học 11 Bài 46: Luyện tập. Anđehit - xeton - axit cacboxylic
Lý thuyết Hóa học 11 Bài 46
Hóa học 11 Bài 46: Luyện tập. Anđehit - xeton - axit cacboxylic được VnDoc.com tổng hợp và xin gửi tới bạn đọc. Mời các bạn cùng tham khảo chi tiết bài viết dưới đây nhé.
1. Các định nghĩa
Anđehit là những hợp chất hữu cơ mà phân tử có nhóm chức –CHO liên kết trực tiếp với nguyên tử cacbon hoặc nguyên tử hiđro. Anđehit no, đơn chức, mạch hở có công thức cấu tạo thu gọn CnH2n+1CHO (với n⩾0).
Xeton là những hợp chất hữu cơ mà phân tử có nhóm chức

liên kết trực tiếp với hai nguyên tử cacbon.
Axit cacboxylic là những hợp chất mà phân tử có nhóm chức −COOH.−COOH.Axit no, đơn chức, mạch hở có công thức cấu tạo thu gọn CnH2n+1COOH (với n⩾0).
2. Tính chất
a) Anđehit có tính khử và tính oxi hoá
Tính oxi hoá:
![]()
Tính khử:

b)Xeton có tính oxi hoá
![]()
c) Axit cacboxylic có tính chất chung của axit
Trong dung dịch, axit cacboxylic phân li thành ion:
![]()
Tác dụng với dung dịch bazơ, oxit bazơ, dung dịch muối và với kim loại đứng trước hiđro trong dãy hoạt động của các kim loại.
Tác dụng với ancol (có xúc tác) tạo thành este :
![]()
3. Điều chế
a) Điều chế anđehit, xeton
Oxi hoá ancol bậc I thu được anđehit:

Oxi hoá etilen là phương pháp hiện đại để sản xuất anđehit axetic:

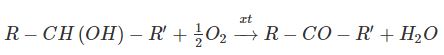
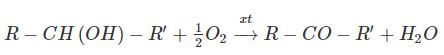
Oxi hoá ancol bậc II thu được xeton:

b) Điều chế axit cacboxylic
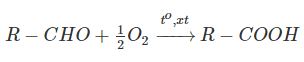
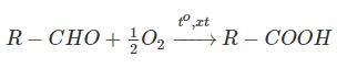
Oxi hoá không hoàn toàn anđehit:

Oxi hoá cắt mạch ankan :

Lên men ancol etylic bằng men giấm để điều chế axit axetic:

Phương pháp hiện đại sản xuất axit axetic từ metanol:

Trên đây VnDoc.com vừa gửi tới bạn đọc bài viết Hóa học 11 Bài 46: Luyện tập. Anđehit - xeton - axit cacboxylic. Hi vọng qua bài viết này bạn đọc có thêm tài liệu để học tập tốt hơn môn Hóa học 11. Mời các bạn tham khảo thêm Lý thuyết Hóa học 11...