Ankadien
Chuyên đề Hóa học lớp 11: Ankadien được VnDoc sưu tầm và giới thiệu tới các bạn học sinh cùng quý thầy cô tham khảo. Nội dung tài liệu sẽ giúp các bạn học sinh học tốt môn Hóa học lớp 11 hiệu quả hơn. Mời các bạn tham khảo.
Lý thuyết: Ankadien
I. Định nghĩa
Định nghĩa:
- Ankađien là hiđrocacbon mạch hở có 2 liên kết đôi C = C trong phân tử.
- CTTQ chung là: CnH2n–2 (n ≥ 3)
Ví dụ: CH2 = C = CH – CH3: Buta - 1,2 - đien
II. Tính chất hóa học
1. Phản ứng cộng
a) Với hiđrô CH2 = CH – CH = CH2 + 2H2 → CH3 – CH2 – CH2¬ - CH3
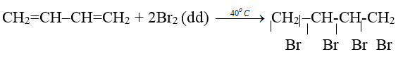
b) Với Brôm
+ Cộng 1, 2:

+ Cộng 1,4:

+ Cộng đồng thời vào 2 nối đôi:

c) Với hiđrô halogenua:
+ Cộng 1,2:

+ Cộng 1,4:
CH2=CH–CH=CH2 + HBr (dd) → CH3 –CH = CH-CH2Br
2. Phản ứng trùng hợp:

Polibutađien

3. Phản ứng oxi hoá
a) Oxi hoá hoàn toàn:
CnH2n–2 + (3n-1)/2O2 → nCO2 + ( n – 1) H2O
b) Oxi hoá không hoàn toàn:
Các ankađien cũng làm mất màu dung dịch KMnO4 như anken.
III. Điều chế
1. Điều chế butađien : từ butan hoặc butilen.
CH3 – CH2 – CH2–CH3 → CH2=CH–CH=CH2 + 2H2
2. Điều chế isopren:

Với chuyên đề Ankađien chúng ta có thể nắm rõ cấu tạo, các danh pháp, đồng đẳng đồng phân và cách điều chế, các phản ứng hóa học của Ankađien
Trên đây VnDoc đã giới thiệu tới các bạn lý thuyết Hóa học 11: Ankadien. Để có kết quả cao hơn trong học tập, VnDoc xin giới thiệu tới các bạn học sinh tài liệu Chuyên đề Hóa học 11, Giải bài tập Hóa học lớp 11, Giải bài tập Vật Lí 11, Tài liệu học tập lớp 11 mà VnDoc tổng hợp và đăng tải.