50 đề ôn tập Toán lớp 8 cơ bản
Đề ôn tập Toán lớp 8
Tổng hợp 50 đề ôn tập Toán 8 cơ bản bao gồm các bài luyện tập nhằm hệ thống kiến thức chương trình môn Toán lớp 8. Các bài tập Toán 8 này sẽ là tài liệu hay giúp các em học sinh tự bồi dưỡng nâng cao kiến thức. Mời các bạn cùng tham khảo.
Đề ôn tập Toán lớp 8 số 1
Câu 1:
Cho: ![]()
Tính giá trị P = x + y + xy
Câu 2:
Giải phương trình:
(a,b,c là hằng số và đôi một khác nhau)
Câu 3:
Xác định các số a, b biết: ![]()
Câu 4:
Chứng minh phương trình: 2x2 – 4y = 10 không có nghiệm nguyên.
Câu 5:
Cho tam giác ABC; AB = 3AC. Tính tỷ số đường cao xuất phát từ B và C
Đề ôn tập Toán lớp 8 số 2
Câu 1:
Cho a, b, c thoả mãn: ![]()
Tính giá trị: ![]()
Câu 2:
Xác định a, b để f(x) = 6x4 – 7x3 + ax2 + 3x + 2
Chia hết cho y(x) = x2 – x + b
Câu 3:
Giải phương trình:
a, (x - 4)(x - 5)(x - 6)(x - 7) = 1680.
b, 4x2 + 4y – 4xy +5y2 + 1 = 0
Câu 4:
Tìm giá trị lớn nhất của phân số mà tử số là một số có 3 chữ số mà mẫu là tổng các chữ số của nó.
Câu 5:
Cho ABC cân tại A, trên AB lấy D, trên AC lấy E sao cho: AD = EC = DE = CB.
a, Nếu AB > 2BC. Tính góc A của ΔABC
b, Nếu AB < BC. Tính góc A của ΔHBC.
Đề ôn tập Toán lớp 8 số 3
Câu 1:
Phân tích thành nhân tử:
a, a3 + b3 + c3 – 3abc
b, (x - y)3 +(y - z)3 + (z - x)3
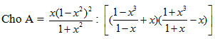
Câu 2:
a, Rút gọn A
b, Tìm A khi x = -1/2
c, Tìm x để 2A = 1
Câu 3:

a, Cho x + y + z = 3. Tìm giá trị nhỏ nhất của M = x2 + y2 + z2
b, Tìm giá trị lớn nhất của P = x/(x + 10)2
Câu 4:
a, Cho a, b, c > 0, CMR:
![]()
b, Cho x,y 0 CMR:
![]()
Câu 5:
Cho ∆ABC đều có độ dài cạnh là a, kéo dài BC một đoạn CM = a
a, Tính số đo các góc ∆ACM
b, CMR: AM ┴ AB
c, Kéo dài CA đoạn AN = a, kéo dài AB đoạn BP = a. CMR ∆MNP đều.
Trên đây VnDoc đã giới thiệu tới các bạn 50 đề ôn tập Toán lớp 8 cơ bản. Để có kết quả cao hơn trong học tập, VnDoc xin giới thiệu tới các bạn học sinh tài liệu Chuyên đề Toán học 8, Giải bài tập Toán lớp 8, Giải VBT Toán lớp 8 mà VnDoc tổng hợp và giới thiệu tới các bạn đọc