Giao diện mới của VnDoc Pro: Dễ sử dụng hơn - chỉ tập trung vào lớp bạn quan tâm. Vui lòng chọn lớp mà bạn quan tâm: Lưu và trải nghiệm
Đóng
Điểm danh hàng ngày
  • Hôm nay +3
  • Ngày 2 +3
  • Ngày 3 +3
  • Ngày 4 +3
  • Ngày 5 +3
  • Ngày 6 +3
  • Ngày 7 +5
Bạn đã điểm danh Hôm nay và nhận 3 điểm!
Nhắn tin Zalo VNDOC để nhận tư vấn mua gói Thành viên hoặc tải tài liệu Hotline hỗ trợ: 0936 120 169

Đề cương ôn tập môn Toán lớp 8

Lớp: Lớp 8
Môn: Toán
Loại File: Word + PDF
Phân loại: Tài liệu Tính phí

Đề cương ôn tập thi học kì 1 môn Toán lớp 8

Đề cương ôn tập môn Toán lớp 8 bao gồm nhiều bài tập toán đại số và hình học lớp 8 được chia theo chủ đề, thuận tiện cho các bạn học sinh ôn tập, nắm vững lại kiến thức. Đây là tài liệu hay giúp các bạn ôn hè lớp 8 lên lớp 9, học môn Toán tốt hơn. Mời các bạn tham khảo.

Chủ đề 1: Nhân đa thức.

A. Mục tiêu:

Nắm được quy tắc nhân đơn thức với đa thức, nhân đa thức với đa thức.

Học sinh biết trình bày phép nhân đa thức theo các cách khác nhau.

B. Thời lượng: 3 tiết (từ 1 đến 3)

C. Thực hiện:

Tiết 1:

Câu hỏi

1: Phát biểu quy tắc nhân đơn thức với đa thức.

2: Phát biểu quy tắc nhân đa thức với đa thức.

* Bài tập về nhân đơn thức với đa thức.

Bài 1: Thực hiện phép nhân.

a. (-2x2).(x3 - 3x2 - x + 1)

b. (-10x3 + 2/5 y - 1/2 z).(-1/2 xy)

Giải:

a. (-2x2).(x3 - 3x2 - x + 1) = -2x5 + 6x4 + 2x3 - 2x2

b. (-10x3 + 2/5 y - 1/2 z).(-1/2 xy) = 5x4y - 1/5 xy2 + 1/6 xyz

Bài 2: Chứng tỏ rằng các đa thức không phụ thuộc vào biến.

a. x(2x + 1) - x2(x + 2) + (x3 - x + 3)

b. 4(x - 6) - x2(2 + 3x) + x(5x - 4) + 3x2(x - 1)

Giải:

a. x(2x + 1) - x2(x + 2) + (x3 - x + 3) = 2x2 + x - x3 - 2x2 + x3 - x + 3 = 3

Vậy đa thức không phụ thuộc vào biến x.

b. 4(x - 6) - x2(2 + 3x) + x(5x - 4) + 3x2(x - 1) = 4x - 24 - 2x2 - 3x3 + 5x2 - 4x + 3x3 - 3x2 = -24

Vậy đa thức không phụ thuộc vào biến x.

Bài 3: Tính giá trị của biểu thức sau khi thực hiện các phép toán

a. 3x(10x2 - 2x + 1) - 6x(5x2 - x - 2) với x = 15

b. 5x(x - 4y) - 4y(y - 5x) với x = -1/5; y = -1/2

c. 6xy(xy - y2) - 8x2(x - y2) + 5y2(x2 - xy) với x = 1/2; y = 2

Giải:

a. 3x(10x2 - 2x + 1) - 6x(5x2 - x - 2)

= 30x3 - 6x2 + 3x - 30x3 + 6x2 + 12x = 15x

Thay x = 15 ta có 15x = 15.15 = 225

b. 5x(x - 4y) - 4y(y - 5x)

= 5x2 - 20xy - 4y2 + 20xy

= 5x2 - 4y2

Thay x = -1/5; y = -1/2 ta có 5.(-1/5)2 - 4(-1/2)2 = 1/5 - 1 = -4/5

c. 6xy(xy - y2) - 8x2(x - y2) + 5y2(x2 - xy)

= 6x2y2 - 6xy3 - 8x3 + 8x2y2 + 5x2y2 - 5xy3

= 19x2y2 - 11xy3 - 8x3

Thay x = 1/2; y = 2 ta có: 19.(1/2)2.22 - 11.(1/2).23 - 8.(1/2)3 = 19 - 44 -1 = -26

Bài 4: Điền vào chỗ dấu * để được đẳng thức đúng.

a. 36x3y4 - * = *(4x2y - 2y3)

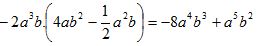
b) -2a3b.(4ab2 + *) = * + a5b2

Giải:

a. Vì *.4x2y = 36x3y4 = 9xy3.4x2y nên dấu * ở vỊ phải là 9xy3

Vì * ở vế trái là tích của 9xy3 với 2y3 nên phải điền vào dấu * này biểu thức 9xy3.2y3 = 18 xy6 vậy ta có đẳng thức đúng.

b. Lý luận tương tự câu a.

Đẳng thức đúng là: Đề cương ôn tập môn Toán lớp 8

Bài 5: Chứng minh các đẳng thức sau:

a. a.(b - c) - b.(a + c) + c.(a - b) = -2ac.

b. a(1 - b) + a(a2 - 1) = a.(a2 - b)

c. a.(b - x) + x.(a + b) = b.(a + x)

Giải:

a. VT = a.(b - c) - b.(a + c) + c.(a - b)

= ab - ac - ab - bc + ac - bc

= -2bc = VP đpcm

b. VT = a.(1 - b) + a.(a2 - 1)

= a - ab + a3 - a

= a3 - ab = a.(a2 - b) = VP đpcm.

c. VT = a.(b - x) + x.(a + b)

= ab - ax + ax + xb

= ab + xb = b(x + a) = VP đpcm

Bài 6: Tìm x biết

a. 5x.(12x + 7) - 3x(20x - 5) = - 100

b. 0,6x(x - 0,5) - 0,3x(2x + 1,3) = 0,138

Giải:

a. 5x.(12x + 7) - 3x(20x - 5) = - 100

↔ 60x2 + 35x - 60x2 + 15x = - 100

↔ 50x = - 100

→ x = - 2

b. 0,6x(x - 0,5) - 0,3x(2x + 1,3) = 0,138

↔ 0,6x2 - 0,3x - 0,6x2 - 0,39x = 0,138

↔ - 0,6x = 0,138

↔ x = 0,138 : (- 0,6)

↔ x = - 0,2

* Bài tập v nhân đa thức với đa thức

Bài 1: Làm tính nhân.

a. (x2+ 2)(x2+ x+ 1)

b. (2a3- 1 + 3a)(a2- 5 + 2a)

Giải:

a. (x2+ 2)(x2+ x+ 1)

= x4 + x3 + x2 + 2x2 + 2x + 2

= x4 + x3 + 3x2 + 2x + 2

b. (2a3- 1 + 3a)(a2- 5 + 2a)

= 2a5 - 10a3 + 4a4 - a2 + 5 - 2a + 3a3 - 15a + 6a2

= 2a5 + 4a4 - 7a3 + 5a2 - 17a + 5

Tiết 3:

Bài 2: Chứng tỏ rằng đa thức sau không phụ thuộc vào biến.

(x2 + 2x + 3)(3x2 - 2x + 1) - 3x2(x2 + 2) - 4x(x2 - 1)

Giải: (x2 + 2x + 3)(3x2 - 2x + 1) - 3x2(x2 + 2) - 4x(x2 - 1)

= 3x4 - 2x3 + x2 + 6x3 - 4x2 + 2x + 9x2 - 6x + 3 - 3x4 - 6x2 - 4x3 + 4x = 3

Kết quả là một hằng số. Vậy đa thức trên không phụ thuộc vào biến.

Bài 3: Cho x = y + 5. Tính

a. x(x + 2) + y(y - 2) - 2xy + 65

b. x2+ y(y - 2x) + 75

Giải:

a. x(x + 2) + y(y - 2) - 2xy + 65

Từ giả thiết x = y + 5 x - y = 5

Ta có: x(x + 2) + y(y - 2) - 2xy + 65

= x2 + 2x + y2 - 2y - 2xy + 65

= x2- xy + y2 - xy + 2x - 2y + 65

=x(x - y) - y(x - y) + 2(x - y) + 65

= (x - y)(x - y) + 2(x - y) + 65

= (x - y)2 + 2(x - y) + 65

= 52 - 2.5 + 65 = 100

b. x2+ y(y - 2x) + 75

= x2 + y2 - 2xy + 75

= x(x - y) - y(x - y) + 75

= (x - y) (x - y) + 75

= 5.5 + 75 = 100

Bài 4: Tính giá trị của biểu thức.

a. A = x3- 30x2- 31x + 1 tại x = 31

b. B = x5- 15x4+ 16x3 - 29x2 + 13x tại x = 14

Giải:

a. Với x = 31 thì

A = x3 - 30x2 - 31x + 1 = x3 - (x - 1)x2 - x.x +1

= x3 - x3 + x2 + 1 = 1

b. Với x = 14 thì

B = x5 - 15x4 + 16x3 - 29x2 + 13

= x5 - (x + 1)x4 + (x + 2)x3 - (2x + 1)x2 + x(x - 1)

= x5 - x5 - x4 + x4 + 2x3 - 2x3 - x2 + x2 - x = -x = - 14

Bài 5: CMR với mọi số nguyên n thì

a. (n2+ 3n - 1)(n + 2) - n3+ 2 chia hết cho 5.

b. (6n + 1)(n + 5) - (3n + 5)(2n - 1) chia hết cho 2.

Giải:

a. Ta có: (n2+ 3n - 1)(n + 2) - n3+ 2

= n3 + 3n2 - n + 2n2 + 6n - 2 - n3 + 2

= 5n2+ 5n = 5(n2 + n) n n

b. (6n + 1)(n + 5) - (3n + 5)(2n - 1)

= 6n2 + n + 30n + 5 - 6n2 - 10n + 3n + 5

= 24n + 10 = 2(12n + 5) n

Tài liệu vẫn còn dài, mời các bạn tải về tham khảo chi tiết

-----------------------

Trên đây VnDoc đã chia sẻ tới các bạn Đề cương ôn tập môn Toán lớp 8. Đây là đề thi tham khảo học kì 1 môn Toán lớp 8 dành cho các bạn học sinh ôn tập, củng cố kiến thức, rèn luyện kĩ năng làm bài môn Toán. Mời các bạn cùng tham khảo.

Ngoài Đề cương ôn tập môn Toán lớp 8, mời các bạn học sinh còn có thể tham khảo các đề thi học kì 1 lớp 8, đề thi học kì 2 lớp 8 mà chúng tôi đã sưu tầm và chọn lọc. Với đề thi học kì lớp 8 này giúp các bạn rèn luyện thêm kỹ năng giải đề và làm bài tốt hơn. Chúc các bạn ôn thi tốt.

Ngoài ra, VnDoc.com đã thành lập group chia sẻ tài liệu học tập THCS miễn phí trên Facebook: Tài liệu học tập lớp 8. Mời các bạn học sinh tham gia nhóm, để có thể nhận được những tài liệu mới nhất

Chọn file muốn tải về:
Đóng Chỉ thành viên VnDoc PRO/PROPLUS tải được nội dung này!
Đóng
79.000 / tháng
Đặc quyền các gói Thành viên
PRO
Phổ biến nhất
PRO+
Tải tài liệu Cao cấp 1 Lớp
30 lượt tải tài liệu
Xem nội dung bài viết
Trải nghiệm Không quảng cáo
Làm bài trắc nghiệm không giới hạn
Mua cả năm Tiết kiệm tới 48%

Có thể bạn quan tâm

Xác thực tài khoản!

Theo Nghị định 147/2024/ND-CP, bạn cần xác thực tài khoản trước khi sử dụng tính năng này. Chúng tôi sẽ gửi mã xác thực qua SMS hoặc Zalo tới số điện thoại mà bạn nhập dưới đây:

Số điện thoại chưa đúng định dạng!
Số điện thoại này đã được xác thực!
Bạn có thể dùng Sđt này đăng nhập tại đây!
Lỗi gửi SMS, liên hệ Admin
Sắp xếp theo
🖼️

Toán 8

Xem thêm
🖼️

Gợi ý cho bạn

Xem thêm