Đề ôn thi đánh giá tư duy Đại học Bách Khoa Hà Nội 2025 - Đề 10
ĐGTD năm 2025
Lớp:
ĐGNL-ĐGTD
Dạng tài liệu:
Đề thi
Loại:
Tài liệu Lẻ
Loại File:
Word + PDF
Phân loại:
Tài liệu Tính phí

Trang 1 | 87
Đề thi Đánh giá tư duy Đại học Bách khoa Hà Nội có đáp án
(Đề 10)
Câu 1:
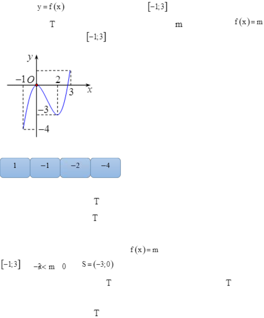
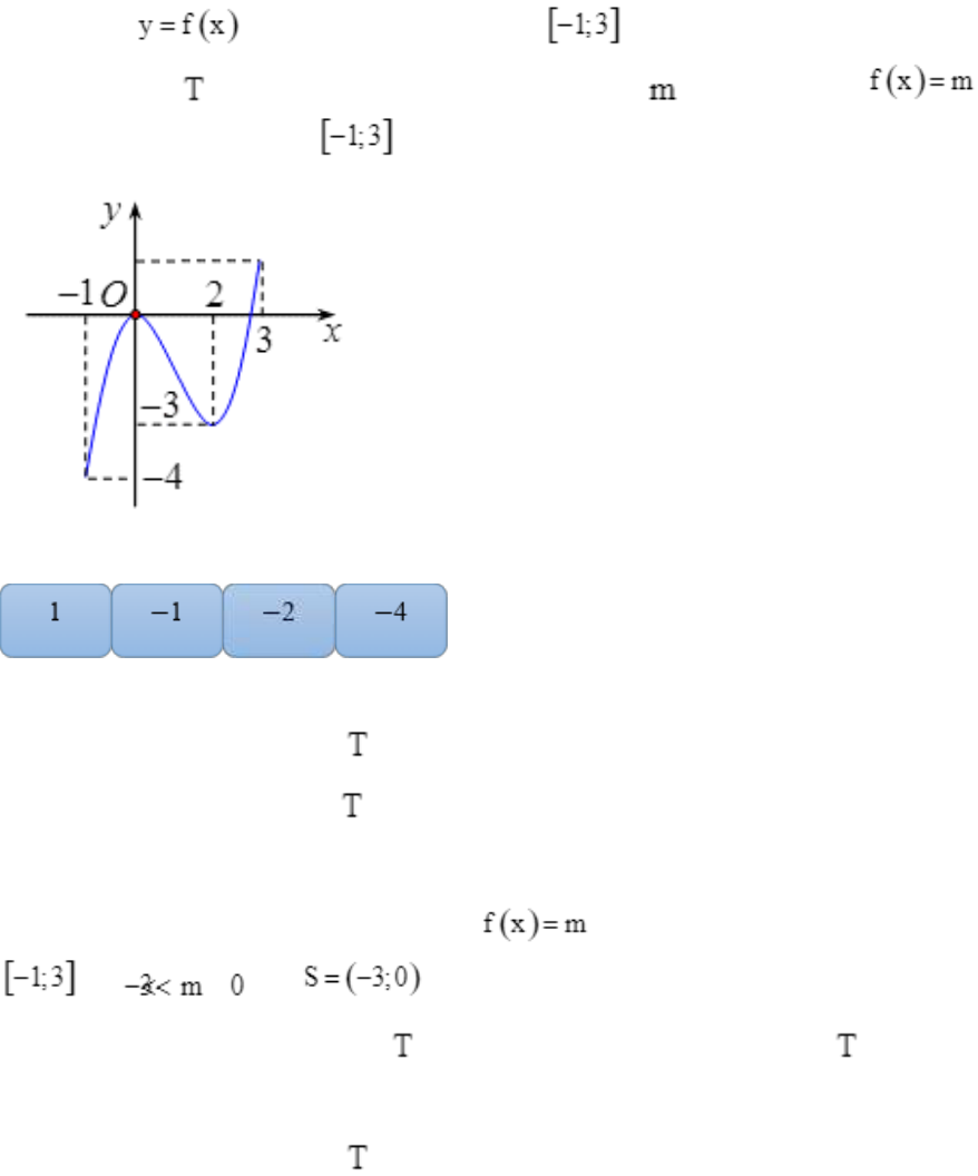
Cho hàm số xác định, liên tục trên đoạn và có đồ thị là đường cong trong hình
vẽ bên. Tập hợp là tập tất cả các giá trị thực của tham số để phương trình có 3
nghiệm phân biệt thuộc đoạn .
Kéo số ở các ô vuông thả vào vị trí thích hợp trong các câu sau:
Giá trị nguyên nhỏ nhất của tập là _______.
Giá trị nguyên lớn nhất của tập là _______.
Lời giải:
Dựa vào đồ thị hàm số đã cho, phương trình có 3 nghiệm phân biệt thuộc đoạn
thì hay .
Vậy giá trị nguyên nhỏ nhất của tập là −2 , giá trị nguyên lớn nhất của tập là −1.
Do đó ta điền đáp án như sau
Giá trị nguyên nhỏ nhất của tập là −2 .

Trang 2 | 87
Giá trị nguyên lớn nhất của tập là −1 .
Câu 2:
Cho hình chóp có đáy là hình vuông cạnh , tam giác đều và nằm
trong mặt phẳng vuông góc với đáy. Gọi là trung điểm .
Mỗi phát biểu sau đây là đúng hay sai?
Phát biểu
ĐÚNG
SAI
Thể tích khối chóp bằng .
¡
¡
Thể tích khối tứ diện bằng .
¡
¡
Khoảng cách từ điểm đến mặt phẳng bằng .
¡
¡
Lời giải:
Gọi là trung điểm cạnh .
Vì tam giác đều và nằm trong mặt phẳng vuông góc với đáy nên .

Trang 3 | 87
.
Ta có: và .
.
Ta có: .
vuông tại có: .
vuông tại có: .
vuông tại có: .
có là đường trung tuyến nên .
cân tại nên vừa là đường trung tuyến vừa là đường cao.
.
Xét có .
.
.
Do đó ta chọn đáp án như sau
Đề thi đánh giá tư duy Đại học Bách Khoa Hà Nội 2025
VnDoc.com xin gửi tới bạn đọc bài viết Đề ôn thi đánh giá tư duy Đại học Bách Khoa Hà Nội 2025 - Đề 10 để bạn đọc cùng tham khảo. Đề thi được tổng hợp có 100 câu hỏi gồm 40 câu hỏi tư duy toán học, 20 câu hỏi tư duy đọc hiểu và 40 câu hỏi tư duy khoa học/giải quyết vấn đề. Thí sinh làm bài trong thời gian 150 phút. Đề có đáp án và lời giải chi tiết kèm theo. Mời các bạn cùng theo dõi đề thi dưới đây để có thêm tài liệu ôn thi kì thi đánh giá năng lực, đánh giá tư duy sắp tới nhé.