Đề ôn thi đánh giá tư duy Đại học Bách Khoa Hà Nội 2025 - Đề 2
ĐGTD năm 2025
Lớp:
ĐGNL-ĐGTD
Dạng tài liệu:
Đề thi
Loại:
Tài liệu Lẻ
Loại File:
PDF
Phân loại:
Tài liệu Tính phí

Trang 1 | 88
Đề thi Đánh giá tư duy Đại học Bách khoa Hà Nội có đáp án
(Đề 2)
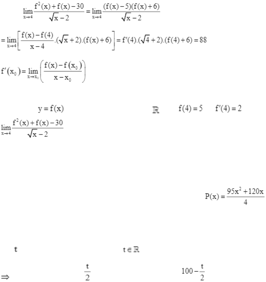
Câu 1:
Cho hàm s o hàm trên , bit và . Gii hn bng (1) _________.
Lời giải:
Ta có:
(vì
Do đó ta điền như sau
Cho hàm s o hàm trên , bit và . Gii hn
bng (1) 88.
Câu 2:
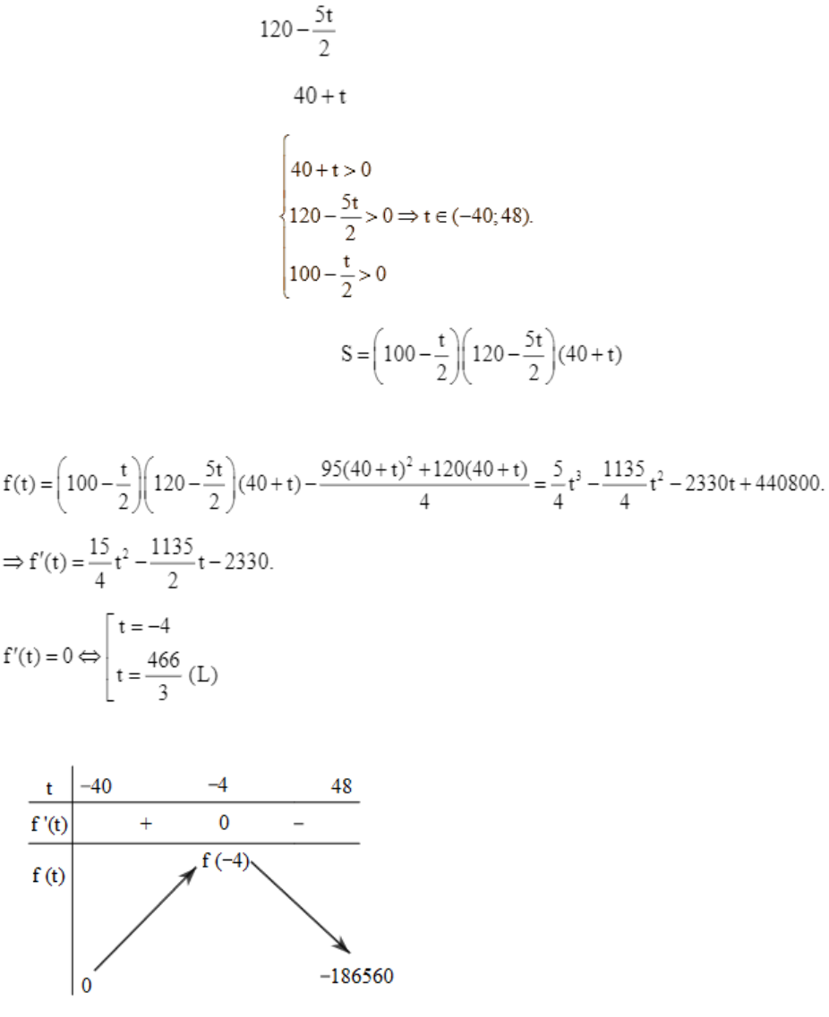
Theo thng kê ti mt nhà máy Z, nu áp dng tun làm vic 40 gi thì mi tun có 100 công
c 120 sn phm trong mt gi. Ni gian làm
vic thêm 2 gi mi tun thì s có 1 công nhân ngh ving gim 5 sn
phm/1 công nhân/1 gi. Ngoài ra, s ph phm mi tuc tính là ,
vi x là thi gian làm vic trong mt tun. Nhà máy cn áp dng thi gian làm vic mi tun (1)
_______ gi s ng sn phc mi tun là ln nht.
Lời giải:
Gi là s gi i tun, .
s công nhân b vic là nên s công nhân làm vic là i.

Trang 2 | 88
t ca công nhân còn sn phm mt gi.
S thi gian làm vic mt tun là gi.
nhà máy hoc thì
S sn phm trong mt tuc: .
S sn phc là
Ta có bng bi
Vy s ng sn phc mi tun ln nht khi x = 36.
Do đó ta điền như sau

Trang 3 | 88
Theo thng kê ti mt nhà máy Z, nu áp dng tun làm vic 40 gi thì mi tun có 100 công
c 120 sn phm trong mt gi. Ni gian làm
vic thêm 2 gi mi tun thì s có 1 công nhân ngh ving gim 5 sn
phm/1 công nhân/1 gi. Ngoài ra, s ph phm mi tuc tính là ,
vi x là thi gian làm vic trong mt tun. Nhà máy cn áp dng thi gian làm vic mi tun
(1) 36 gi s ng sn phc mi tun là ln nht.
Câu 3:
m và mt phng
. Gi là mt cm A, B, C và có tâm thuc mt phng
Kéo s các ô vuông th vào v trí thích hp trong các câu sau:
Bán kính mt cu (S) bng _______.
Tâm mt cu (S) bng bng _______.
Lời giải:
Gi là tâm mt cu m A, B, C.
Ta có:
Vì nên ta có h
Đề thi đánh giá tư duy Đại học Bách Khoa Hà Nội 2025
Đề ôn thi đánh giá tư duy Đại học Bách Khoa Hà Nội 2025 - Đề 2 có đáp án là tài liệu hữu ích giúp bạn đọc có thể trau dồi, luyện tập nội dung kiến thức để chuẩn bị thật tốt cho kì thi đánh giá năng lực, đánh giá tư duy sắp tới nhé.
Đề thi được tổng hợp có 100 câu hỏi gồm 40 câu hỏi tư duy toán học, 20 câu hỏi tư duy đọc hiểu và 40 câu hỏi tư duy khoa học/giải quyết vấn đề. Thí sinh làm đề trong thời gian 150 phút. Đề có đáp án và lời giải chi tiết kèm theo. Mời các bạn cùng theo dõi đề thi dưới đây.