Đề ôn thi đánh giá tư duy Đại học Bách Khoa Hà Nội 2025 - Đề 1
ĐGTD năm 2025
Lớp:
ĐGNL-ĐGTD
Dạng tài liệu:
Đề thi
Loại:
Tài liệu Lẻ
Loại File:
PDF
Phân loại:
Tài liệu Tính phí

Trang 1 | 79
Đề thi Đánh giá tư duy Đại học Bách khoa Hà Nội có đáp án
(Đề 1)
----------------------------------------
Câu 1:
PHẦN TƯ DUY TOÁN HỌC
Trong không gian Oxy, cho ba điểm A(−2; 0; 0), B(0; 3; 0) và C(0; 0; 4). Mặt phẳng (ABC) có
phương trình là
A. .
B. .
C. .
D. .
Lời giải:
Mặt phẳng có phương trình là .
Do đó ta chọn đáp án
A. .
B. .
Câu 2:
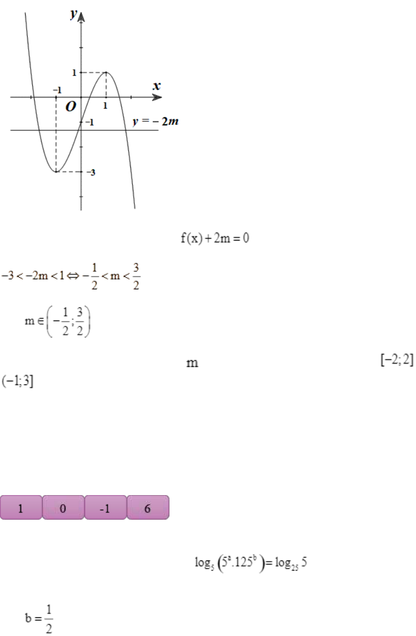
Cho hàm số có đồ thị như hình bên dưới. Tập hợp các giá trị của tham số m để hàm số
có 5 điểm cực trị là tập con của các tập hợp nào sau đây?

Trang 2 | 79
A. (−3; 1).
B. [0; 4).
C. [−2; 2].
D. (−1; 3].
Lời giải:
Từ đồ thị ta nhận thấy hàm số có 2 điểm cực trị.
Hàm số có 5 điểm cực trị khi và chỉ khi phương trình có 3
nghiệm phân biệt.
Số nghiệm của phương trình là số giao điểm của hai đồ thị , trong đó
hàm số có đồ thị là đường thẳng song song hoặc trùng với trục Ox.

Trang 3 | 79
Dựa vào đồ thị, ta thấy phương trình có 3 nghiệm phân biệt khi
.
Vậy thỏa mãn.
Suy ra tập hợp các giá trị của tham số thỏa mãn là tập con của các tập hợp và
.
Do đó đáp án đúng là
C. [−2; 2].
D. (−1; 3].
Câu 3:
Xét các số thực a, b thỏa mãn điều kiện . Kéo số ở các ô vuông thả vào vị
trí thích hợp trong các câu sau:
Nếu thì giá trị của số thực a bằng _______.
Đề thi đánh giá tư duy Đại học Bách Khoa Hà Nội 2025
Đề ôn thi đánh giá tư duy Đại học Bách Khoa Hà Nội 2025 - Đề 1 được VnDoc.com tổng hợp và xin gửi tới bạn đọc cùng tham khảo nhé. Đề thi được tổng hợp có 100 câu hỏi gồm 40 câu hỏi tư duy toán học, 20 câu hỏi tư duy đọc hiểu và 40 câu hỏi tư duy khoa học/giải quyết vấn đề. Thí sinh làm đề trong thời gian 150 phút. Đề có đáp án và lời giải chi tiết kèm theo. Mời các bạn cùng theo dõi bài viết dưới đây để có thêm tài liệu ôn thi kì thi đánh giá năng lực nhé.