Đề ôn thi đánh giá tư duy Đại học Bách Khoa Hà Nội 2025 - Đề 11
ĐGTD năm 2025
Lớp:
ĐGNL-ĐGTD
Dạng tài liệu:
Đề thi
Loại:
Tài liệu Lẻ
Loại File:
Word + PDF
Phân loại:
Tài liệu Tính phí

Trang 1 | 83
Đề thi Đánh giá tư duy Đại học Bách khoa Hà Nội có đáp án
(Đề 11)
Câu 1:
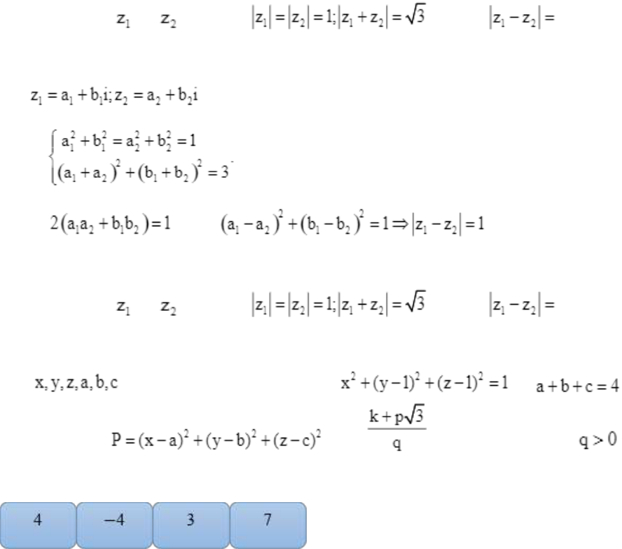
Cho hai số phức và thỏa mãn . Khi đó (1) _____.
Lời giải:
Đặt .
Ta có:
Suy ra do đó .
Do đó ta điền như sau
Cho hai số phức và thỏa mãn . Khi đó (1) 1.
Câu 2:
Cho là ba số thực thay đổi thỏa mãn và . Giá
trị nhỏ nhất của bằng (phân số tối giản với ).
Kéo số ở các ô vuông thả vào vị trí thích hợp trong các câu sau:
Giá trị của k bằng _______.
Giá trị của p bằng _______.
Giá trị của q bằng _______.
Lời giải:

Trang 2 | 83
Trong không gian với hệ trục tọa độ , gọi điểm , điểm .
Khi đó thuộc mặt cầu tâm , bán kính và thuộc mặt phẳng
.
Suy ra .
Ta có suy ra nhỏ nhất khi thẳng hàng.
Do vậy nhỏ nhất khi là hình chiếu của lên và là giao của và mặt cầu.
Khi đó .
Mà . Suy ra .
Vậy .
Do đó ta điền như sau
Giá trị của k bằng 7 .
Giá trị của p bằng −4 .
Giá trị của q bằng 3 .
Câu 3:
Có mười cái ghế (mỗi ghế chỉ ngồi được một người) được xếp trên một hàng ngang. Xếp ngẫu
nhiên 7 học sinh ngồi vào, mỗi học sinh ngồi đúng một ghế. Mỗi phát biểu sau đây
là đúng hay sai?

Trang 3 | 83
Phát biểu
ĐÚNG
SAI
Có 120 cách xếp 7 học sinh ngồi vào 10 ghế sao cho mỗi học sinh ngồi đúng một
ghế
¡
¡
Xác suất để không có hai ghế trống nào kề nhau là .
¡
¡
Lời giải:
Xếp 7 học sinh ngồi vào 10 cái ghế .
Gọi biến cố : "Không có 2 ghế trống nào kề nhau".
Xếp 7 học sinh vào 7 ghế trống có 7! cách xếp.
Giữa 7 học sinh có 8 chỗ trống, chọn 3 chỗ trống bất kì để đặt các ghế trống vào có cách
. .
Vậy: .
Do đó ta chọn đáp án như sau
Phát biểu
ĐÚNG
SAI
Có 120 cách xếp 7 học sinh ngồi vào 10 ghế sao cho mỗi học sinh ngồi đúng một
ghế
¡
¤
Xác suất để không có hai ghế trống nào kề nhau là .
¤
¡
Câu 4:
Một khối gỗ hình trụ có đường kính và cao . Người ta đã cắt bằng một mặt phẳng bỏ
đi một phần khối gỗ, phần còn lại như hình vẽ bên dưới có thể tích là (với là
phân số tối giản, ). Tích bằng (1) ________.
Đề thi đánh giá tư duy Đại học Bách Khoa Hà Nội 2025
Đề ôn thi đánh giá tư duy Đại học Bách Khoa Hà Nội 2025 - Đề 11 được VnDoc.com tổng hợp và xin gửi tới bạn đọc cùng tham khảo.
Đề thi được tổng hợp có 100 câu hỏi gồm 40 câu hỏi tư duy toán học, 20 câu hỏi tư duy đọc hiểu và 40 câu hỏi tư duy khoa học/giải quyết vấn đề. Thí sinh làm bài trong thời gian 150 phút. Đề có đáp án và lời giải chi tiết kèm theo. Mời các bạn cùng theo dõi chi tiết đề thi dưới đây để có thêm tài liệu ôn thi kì thi đánh giá năng lực, đánh giá tư duy sắp tới nhé.