Đề ôn thi đánh giá tư duy Đại học Bách Khoa Hà Nội 2025 - Đề 15
ĐGTD năm 2025
Lớp:
ĐGNL-ĐGTD
Dạng tài liệu:
Đề thi
Loại:
Tài liệu Lẻ
Loại File:
Word + PDF
Phân loại:
Tài liệu Tính phí

Trang 1 | 86
Đề thi Đánh giá tư duy Đại học Bách khoa Hà Nội có đáp án
(Đề 15)
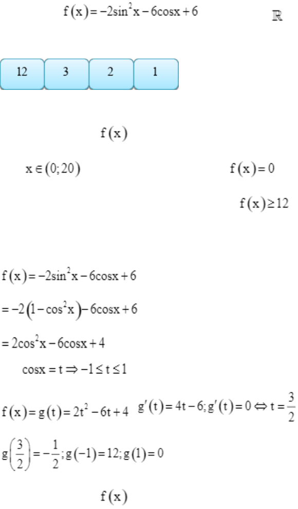
Câu 1:
Cho hàm số xác định trên .
Kéo số ở các ô vuông thả vào vị trí thích hợp trong các câu sau:
Giá trị lớn nhất của là _______.
Cho , số nghiệm của phương trình là: _______.
Số điểm biểu diễn nghiệm của bất phương trình trên đường tròn lượng giác là
_______.
Lời giải:
Đặt
; .
.
Giá trị lớn nhất của là 12.

Trang 2 | 86
Ta có
mà nên .
Số nghiệm của phương trình là 3.
Mà .
Số điểm biểu diễn nghiệm của bất phương trình trên đường tròn lượng giác là 1 .
Do đó ta điền như sau
Giá trị lớn nhất của là 12.
Cho , số nghiệm của phương trình là: 3 .
Số điểm biểu diễn nghiệm của bất phương trình trên đường tròn lượng giác là 1 .
Câu 2:
Trong không gian , cho điểm . Gọi lần lượt là hình chiếu vuông góc của
trên trục và trên mặt phẳng .
Trong các khẳng định sau, khẳng định nào đúng, khẳng định nào sai?
ĐÚNG
SAI

Trang 3 | 86
Độ dài đoạn thẳng bằng .
¡
¡
Phương trình mặt phẳng trung trực của đoạn là .
¡
¡
Lời giải:
Ta có . Gọi là trung điểm của , ta có và .
.
Phương trình mặt phẳng trung trực của là
.
Do đó ta chọn đáp án như sau
ĐÚNG
SAI
Độ dài đoạn thẳng bằng .
¤
¡
Phương trình mặt phẳng trung trực của đoạn là .
¡
¤
Câu 3:
Người ta muốn trang trí Tết bằng cách xếp xen kẽ 3 cây quất và 2 cây đào sao cho không có cây
nào cùng loại xếp cạnh nhau.
Số cách xếp là _______.
Lời giải:
Số cách xếp là 3!.2! = 12 cách xếp.
Do đó ta điền như sau
Người ta muốn trang trí Tết bằng cách xếp xen kẽ 3 cây quất và 2 cây đào sao cho không có cây
nào cùng loại xếp cạnh nhau.
Số cách xếp là 12.
Câu 4:
Đề thi đánh giá tư duy Đại học Bách Khoa Hà Nội 2025
Đề ôn thi đánh giá tư duy Đại học Bách Khoa Hà Nội 2025 - Đề 15 có đáp án là tài liệu hữu ích giúp bạn đọc có thể trau dồi, luyện tập nội dung kiến thức để chuẩn bị cho kì thi đánh giá năng lực, đánh giá tư duy sắp tới nhé.
Đề thi được tổng hợp có 100 câu hỏi gồm 40 câu hỏi tư duy toán học, 20 câu hỏi tư duy đọc hiểu và 40 câu hỏi tư duy khoa học/giải quyết vấn đề. Thí sinh làm đề trong thời gian 150 phút. Đề có đáp án và lời giải chi tiết kèm theo. Mời các bạn cùng theo dõi đề thi dưới đây.