Đề ôn thi đánh giá tư duy Đại học Bách Khoa Hà Nội 2025 - Đề 6
ĐGTD năm 2025
Lớp:
ĐGNL-ĐGTD
Dạng tài liệu:
Đề thi
Loại:
Tài liệu Lẻ
Loại File:
PDF
Phân loại:
Tài liệu Tính phí

Trang 1 | 78
Đề thi Đánh giá tư duy Đại học Bách khoa Hà Nội có đáp án
(Đề 6)
----------------------------------------
Câu 1:
PHẦN TƯ DUY TOÁN HỌC
Kim tự tháp Cheops (có dạng hình chóp) là kim tự tháp cao nhất ở Ai Cập. Chiều cao của kim tự
tháp này là 144 m, đáy của kim tự tháp là hình vuông có cạnh dài 230 m. Các lối đi và phòng bên
trong chiếm 30% thể tích của kim tự tháp. Để xây dựng kim tự tháp, người Ai Cập cổ đại đã vận
chuyển các khối đá qua những lối đi vào phòng bên trong. Biết một lần vận chuyển gồm 10 xe,
mỗi xe chở 6 tấn đá, và khối lượng riêng của đá bằng 2,5.103 kg/m3. Số lần vận chuyển đá để
xây dựng kim tự tháp là (1) _________.
Lời giải:
Thể tích kim tự tháp là .
Thể tích khối đá cần vận chuyển là .
Gọi là số lần vận chuyển.
Để đủ đá xây dựng kim tự tháp thì .
Do đó ta điền như sau:

Trang 2 | 78
Kim tự tháp Cheops (có dạng hình chóp) là kim tự tháp cao nhất ở Ai Cập. Chiều cao của kim tự
tháp này là 144 m, đáy của kim tự tháp là hình vuông có cạnh dài 230 m. Các lối đi và phòng bên
trong chiếm 30% thể tích của kim tự tháp. Để xây dựng kim tự tháp, người Ai Cập cổ đại đã vận
chuyển các khối đá qua những lối đi vào phòng bên trong. Biết một lần vận chuyển gồm 10 xe,
mỗi xe chở 6 tấn đá, và khối lượng riêng của đá bằng 2,5.103 kg/m3. Số lần vận chuyển đá để
xây dựng kim tự tháp là (1) 74060.
Câu 2:
Minh và Thành đang chơi một trò chơi. Trong trò chơi, mỗi người chơi bắt đầu với 0 điểm và
sau khi kết thúc trò chơi, người có nhiều điểm nhất sẽ giành chiến thắng. Biết Minh có ba lần
được 5 điểm, bị trừ mất 12 điểm và sau đó được cộng 3 điểm. Thành có hai lần bị trừ mất 3
điểm, một lần trừ mất 1 điểm, một lần được cộng 6 điểm và sau đó được cộng 7 điểm.
Mỗi phát biểu sau đây là đúng hay sai?
Phát biểu
Đúng
Sai
Sau khi kết thúc trò chơi, Minh được 6 điểm.
¡
¡
Sau khi kết thúc trò chơi, Thành được 18 điểm.
¡
¡
Thành là người chiến thắng.
¡
¡
Lời giải:
Số điểm của Minh là: 3.5 − 12 + 3 = 6.
Số điểm của Thành là: 2.(−3) − 1 + 6 + 7 = 6.
Vậy hai bạn hòa nhau.
Do đó ta có đáp án như sau
Phát biểu
Đúng
Sai
Sau khi kết thúc trò chơi, Minh được 6 điểm.
¤
¡
Sau khi kết thúc trò chơi, Thành được 18 điểm.
¡
¤
Thành là người chiến thắng.
¡
¤
Câu 3:
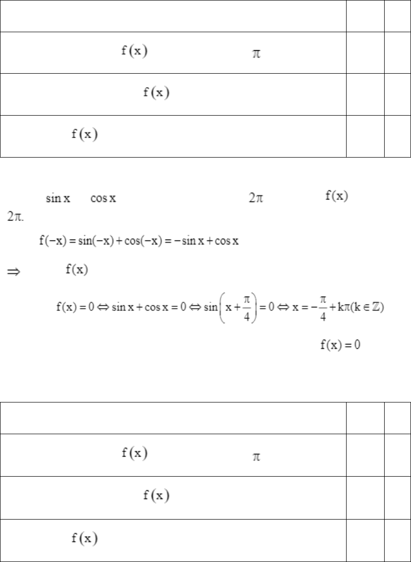
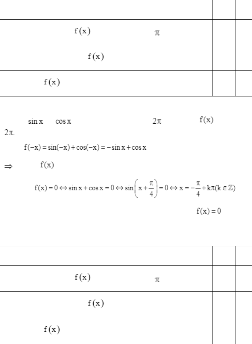
Cho hàm số . Mỗi phát biểu sau đây là đúng hay sai?

Trang 3 | 78
Phát biểu
Đúng
Sai
Hàm số tuần hoàn với chu kì .
¡
¡
Hàm số là hàm số chẵn
¡
¡
Phương trình = 0 có 2 điểm biểu diễn trên đường tròn lượng giác.
¡
¡
Lời giải:
Hàm số và đều có chu kì tuần hoàn là nên hàm số tuần hoàn với chu kì
Ta có: .
Hàm số không chẵn, không lẻ.
Mặt khác, .
Biểu diễn nghiệm trên đường tròn lượng giác ta thấy phương trình có 2 điểm biểu diễn
trên đường tròn lượng giác.
Do đó ta chọn đáp án như sau
Phát biểu
Đúng
Sai
Hàm số tuần hoàn với chu kì .
¡
¤
Hàm số là hàm số chẵn
¡
¤
Phương trình = 0 có 2 điểm biểu diễn trên đường tròn lượng giác.
¤
¡
Câu 4:
Đề thi đánh giá tư duy Đại học Bách Khoa Hà Nội 2025
Đề ôn thi đánh giá tư duy Đại học Bách Khoa Hà Nội 2025 - Đề 6 được VnDoc.com tổng hợp và xin gửi tới bạn đọc cùng tham khảo. Đề thi được tổng hợp có 100 câu hỏi gồm 40 câu hỏi tư duy toán học, 20 câu hỏi tư duy đọc hiểu và 40 câu hỏi tư duy khoa học/giải quyết vấn đề. Thí sinh làm đề trong thời gian 150 phút. Đề có đáp án và lời giải chi tiết kèm theo. Mời các bạn cùng theo dõi đề thi dưới đây để có thêm tài liệu ôn thi đánh giá năng lực, đánh giá tư duy sắp tới nhé.