Đề thi khảo sát chất lượng môn Toán lớp 12 trường THPT Đức Thọ, Hà Tĩnh năm học 2015 - 2016
Đề thi khảo sát chất lượng môn Toán lớp 12
Đề thi khảo sát chất lượng môn Toán lớp 12 trường THPT Đức Thọ, Hà Tĩnh năm học 2015 - 2016 là tài liệu tham khảo hay được Vndoc.com sưu tầm. Đề gồm 9 câu hỏi tự luận với thời gian làm bài là 180 phút, đã có đáp án. Mời các bạn tham khảo.
Bài tập trắc nghiệm đường tiệm cận
Trắc nghiệm môn Toán: Tiệm cận hàm số - Tiếp tuyến của đồ thị hàm số
| SỞ GD & ĐT HÀ TĨNH TRƯỜNG THPT ĐỨC THỌ |
ĐỀ THI KHẢO SÁT CHẤT LƯỢNG HỌC KỲ I NĂM HỌC 2015-2016 Môn thi: Toán 12 Thời gian làm bài: 180 phút |
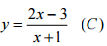
Câu 1. (2,5 điểm). Cho hàm số: ![]()
a) Khảo sát sự biến thiên và vẽ đồ thị (C)
b) Viết phương trình tiếp tuyến của đồ thị (C) tại điểm có tung độ bằng 1
Câu 2. (0,5 điểm). Giải phương trình: 4sinx + cosx = 2 + sin2x
Câu 3. (1,0 điểm). Tìm giá trị lớn nhất, giá trị nhỏ nhất của hàm số y = x3 + 3x2 - 9x + 1 trên đoạn [- 2; 2].
Câu 4 (1,5 điểm).
a) Giải phương trình: 52x 24.5x-1 - 1 = 0
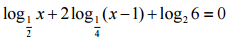
b) Giải phương trình: ![]()
Câu 5 (0,5 điểm). Trường trung học phổ thông Đức Thọ có tổ Toán - Tin gồm 10 giáo viên trong đó có 3 giáo viên nam, 7 giáo viên nữ; Tổ Lý - Hóa - Sinh gồm 12 giáo viên trong đó có 3 giáo viên nam, 9 giáo viên nữ. Chọn ngẫu nhiên mỗi tổ 2 giáo viên đi chuyên đề. Tính xác suất sao cho các giáo viên được chọn có cả nam và nữ.
Câu 6 (1,0 điểm). Cho hình chóp S.ABCD có đáy ABCD là hình chữ nhật với AB = a, AD = 2a,
và SA = a. Tính theo a thể tích của khối chóp S.ABCD và khoảng cách từ D đến mặt phẳng (SBM) với M là trung điểm của CD.
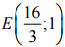
Câu 7 (1,0 điểm). Trong mặt phẳng tọa độ Oxy, cho tam giác ABC vuông tại B, AB = 2BC. Gọi D là trung điểm của AB, E nằm trên đoạn thẳng AC sao cho AC = 3EC. Biết phương trình đường thẳng chứa CD là x - 3y + 1 = 0 và điểm
Tìm tọa độ các điểm A, B, C.
Câu 8 (1,0 điểm).Giải hệ phương trình sau

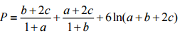
Câu 9 (1,0 điểm) Cho các số thực dương a, b, c thỏa mãn
Tìm giá trị nhỏ nhất của biểu thức
![]()
----------------- Hết -----------------