Đề thi thử Quốc gia môn Toán lần 6 năm 2015
Đề thi thử Quốc gia môn Toán lần 6 năm 2015 là đề thi thử Quốc gia môn Toán có đáp án ra ngày 24/3/2015, do thầy Nguyễn Đức Lai, trường THPT Chuyên Bắc Giang ra đề, luôn cố gắng bám sát cấu trúc đề thi để giúp các bạn thêm tài liệu ôn luyện có chất lượng cũng như luyện thi đại học môn Toán được tốt hơn, thêm tự tin trước các kì thi sắp tới.
Đề thi thử Toán quốc gia lần 1 năm 2015
Đề thi thử Toán quốc gia lần 2 năm 2015
Đề thi thử Quốc gia môn Toán
| ĐỀ CHÍNH THỨC (Đề thi gồm có 01 trang) |
ĐỀ THI THỬ KỲ THI THPT QUỐC GIA LẦN 6 NĂM 2015 Môn: TOÁN Ngày thi: 24 tháng 03 năm 2015 Thời gian làm bài: 180 phút, không kể thời gian phát đề |
Câu 1 (2,0 điểm): Cho hàm số y = -x3 + 3x + 1 (1).
a) Khảo sát sự biến thiên và vẽ đồ thị của hàm số (1).
b) Gọi (d) là đường thẳng đi qua điểm A(2; -3) có hệ số góc bằng m. Tìm các số m để đường thẳng (d) cắt đồ thị của hàm số (1) tại 3 điểm phân biệt có hoành độ x1, x2, x3 thỏa mãn x1² + x2² + x3² ≥ 8.
Câu 2 (1 điểm): Giải phương trình:
| (cosx - 1)cos²x | = | 2(1 + sinx) |
| sinx + cosx |
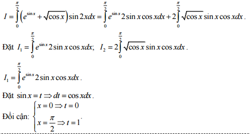
Câu 3 (1 điểm): Tính tích phân:

Câu 4 (1 điểm):
a) Tìm phần thực, phần ảo của số phức z , biết z thỏa mãn (1 + 2iz)(1 - i) = (2 + i)z.
b) Gọi S là tập hợp các ước số nguyên dương của số 43200. Chọn ngẫu nhiên một số trong S. Tính xác suất chọn được số không chia hết cho 5.
Câu 5 (1,0 điểm). Trong không gian với hệ tọa độ Oxyz, cho điểm A(1;-1;1) và đường thẳng d có phương trình (x-1)/2 = y/1 = (z+1)/2. Tìm tọa độ điểm A' là hình chiếu vuông góc của A trên d và lập phương trình mặt phẳng (P) đi qua A, (P) song song với d và khoảng cách giữa d với (P) lớn nhất.
Câu 6 (1,0 điểm). Cho hình chóp S.ABCD có ABCD là hình thang vuông tại A, D; AB = AD = 2a, CD = a. Gọi I là trung điểm của cạnh AD, hình chiếu vuông góc của S trên (ABCD) là điểm I. Cho biết khoảng cách từ I đến (SBC) bằng √3a/2. Tính thể tích của khối chóp S.ABCD theo a.
Câu 7 (1,0 điểm). Trong mặt phẳng với hệ tọa độ Oxy , cho tam giác ABC có đỉnh A nằm trên trục Ox với 0 < xA < 5. Các đường cao xuất phát từ đỉnh B và đỉnh C lần lượt có phương trình là d1: x - y + 1 = 0, d2: 2x + y - 4 = 0. Tìm tọa độ các đỉnh A, B, C sao cho tam giác ABC có diện tích lớn nhất.

Đáp án đề thi thử Quốc gia môn Toán lần 6 năm 2015
Câu 1 (2,0 điểm)

Đồ thị giao với Oy tại (0, -1). Lấy thêm điểm thuộc đồ thị A(2,-3)

Phương trình của d là y = m(x - 2) - 3.
Xét phương trình hoành độ giao điểm của d và đồ thị hàm số (1) là m(x - 2) -3 = -x3 + 3x - 1 (1).
Suy ra x3 - 3x - 2 + m(x - 2) = 0 suy ra (x - 1)2(x - 2) + m(x - 2) = 0 → x = 2
hoặc x2 + 2x + 1 + m = 0 (2)
Để d cắt đồ thị của hàm số (1) tại 3 điểm phân biệt thì phương trình (1) phải có 3 nghiệm phân biệt hay phương trình (2) phải có 2 nghiệm phân biệt khác 2 suy ra
- Δ' = - m > 0
- 22 + 2.2 + 1 + m khác 0
Giải hệ ta được m < 0 và m khác 9 (2')
Tiếp gọi các hoành độ giao điểm của d và đồ thị của hàm số (1) là x1, x2, x3 = 2. Trong đó x1, x2 là 2 nghiệm phân biệt của phương trình (2). Theo bài ra ta có x²1 + x²2 + x²3 ≥ 8 tương đương x²1 + x²2 ≥ 4 → (x1 + x2)2 - 2x1x2 ≥ 4 (3).
Theo định lí Viet của phương trình (2)
- x1 + x2 = -2
- x1.x2 = 1 + m
Khi đó (3) trở thành 4 - 2(1 + m) ≥ 4 ↔ m ≤ -1 (3').
Kết hợp (2') và (3') ta được m thuộc (-∞, -1] / {-9}.
Câu 2:
Điều kiện sinx + cosx khác 0.
Khi đó phương trình ↔ (1 -sin²x)(cosx - 1) = 2(1 + sinx)(sinx + cosx).
↔ (1 + sinx)( 1 + cosx + sinx + sinxcosx) = 0.
↔ (1 + sinx)((1 + cosx) + sinx(1 + cosx)) = 0.
↔ (1 +sinx)(1 + cosx)(1+ sin) = 0 (*)
Phương trình (*) tương đương với:
- sinx = -1
- cosx = -1
Với sinx = -1 suy ra cosx = 0 suy ra sinx + cosx khác 0, thỏa mãn điều kiện → sinx = -1 → x = -π/2 + k2π (k thuộc Z).
Với cosx = -1 suy luận tương tự trên thỏa mãn điều kiện → cosx = -1 → x = π + m2π (với m thuộc Z).
Vậy phương trình có nghiệm lần lượt là x = -π/2 + k2π và x = π + m2π (với k, m thuộc Z).
Câu 3:



