Đề thi thử THPT Quốc gia môn Toán trường THPT Thiệu Hóa, Thanh Hóa năm 2015
Đề thi thử THPT Quốc gia môn Toán
Để chuẩn bị tốt nhất cho kì thi THPT Quốc gia 2016 sắp tới, các bạn cần ôn tập và luyện đề một cách tích cực để có thể đạt thành tích cao nhất. Mời các bạn tham khảo Đề thi thử THPT Quốc gia môn Toán trường THPT Thiệu Hóa, Thanh Hóa năm 2015 có đáp án đi kèm. VnDoc.com hy vọng đây là tài liệu ôn thi THPT Quốc gia hữu ích đối với các bạn.
Tuyển tập 100 hệ phương trình luyện thi đại học
Bộ 10 đề thi thử THPT Quốc gia môn Toán năm 2016
Tuyển tập Bộ 3 câu phân loại trong các đề thi thử THPT Quốc gia 2015 môn Toán
|
SỞ GD&ĐT THANH HÓA Trường THPT Thiệu Hóa |
ĐỀ KSCL ÔN THI THPT QUỐC GIA LẦN 1NĂM HỌC 2014 - 2015 Môn: TOÁN (Thời gian làm bài: 180 phút) |
Câu I (4,0 điểm)
Cho hàm số y = (1/2)x3 (m + 1)x2 + (m2 - 7)x - 4 (1) (Với m là tham số thực).
1. Khảo sát sự biến thiên và vẽ đồ thị hàm số khi m = −2.
2. Tìm m để đồ thị hàm số (1) có hai điểm cực trị x1; x2 thỏa mãn: x1 = 3x2
Câu II (3,0 điểm)
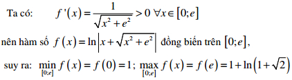
1. Giải phương trình sin3x + cos4x = 1
![]()
Câu III (2,0 điểm) Cho phương trình
![]()
1. Giải phương trình khi m = −2
2. Tìm m để phương trình có nghiệm duy nhất.
Câu IV (2,0 điểm)
1. Cho một hộp đựng 4 viên bi đỏ, 5 viên bi xanh và 7 viên bi vàng. Lấy ngẫu nhiên một lần ba viên bi. Tính xác suất để trong ba viên bi lấy được chỉ có hai màu.
2. Tìm hệ số của số hạng chứa x6 trong khai triển của:
, biết tổng các hệ số trong khai triển trên bằng 4096 (trong đó n là số nguyên dương và x > 0).
Câu V (2,0 điểm) Cho hình chóp S.ABCD có đáy là tứ giác ABCD, có ABD là tam giác đều cạnh a, BCD là tam giác cân tại C có ^BCD =120o, SA a = và SA ⊥ (ABCD). Tính thể tích khối chóp S.ABCD và khoảng cách từ ñiểm C ñến mặt phẳng (SBD).
Câu VI (4,0 điểm)
1. Trong mặt phẳng tọa độ Oxy. Cho đường tròn (C): x2 + y2 - 4x + 6y + 4 = 0. Viết phương trình các đường thẳng chứa các cạnh của hình vuông MNPQ nội tiếp đường tròn (C) biết ñiểm M (2;0).
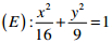
2. Trong mặt phẳng tọa độ Oxy, cho elip
. Tìm tọa độ các điểm M trên (E) sao cho MF1 = 2MF2 (với F1, F2 lần lượt là các tiêu điểm bên trái, bên phải của (E)).
Câu VII (2,0 điểm) Giải hệ phương trình

Câu VIII (1,0 điểm) Cho a, b, c là ba số thực dương. Chứng minh rằng:
![]()
Đáp án đề thi thử THPT Quốc gia môn Toán
Câu 1a

Câu 1b

Câu 2a

Câu 2b

(Còn tiếp)