Đề thi thử THPT Quốc gia năm 2016 môn Toán trường THPT Nguyễn Trung Thiên, THPT Nguyễn Thị Minh Khai, Hà Tĩnh (Lần 1)
Đề thi thử THPT Quốc gia 2016 môn Toán
Đề thi thử THPT Quốc gia năm 2016 môn Toán trường THPT Nguyễn Trung Thiên, THPT Nguyễn Thị Minh Khai, Hà Tĩnh (Lần 1) gồm 9 câu hỏi có đáp án đi kèm, là tài liệu ôn tập môn Toán hữu ích dành cho các bạn học sinh lớp 12, những bạn chuẩn bị bước vào kì thi THPT Quốc gia, mời các bạn tham khảo.
Bộ 10 đề thi thử THPT Quốc gia môn Toán năm 2016
Tuyển tập Bộ 3 câu phân loại trong các đề thi thử THPT Quốc gia 2015 môn Toán
|
SỞ GIÁO DỤC & ĐÀO TẠO HÀ TĨNH TRƯỜNG THPT NGUYỄN TRUNG THIÊN TRƯỜNG THPT NGUYỄN THỊ MINH KHAI (Đề thi có 01 trang) |
THI THỬ THPT QUỐC GIA LẦN 1 NĂM 2016
Môn: Toán Thời gian làm bài: 180 phút. |
Câu 1: (2 điểm)
Cho hàm số:
![]()
a. Khảo sát sự biến thiên và vẽ đồ thị (C) của hàm số
b. Viết phương trình tiếp tuyến của đồ thị (C) biết tiếp tuyến vuông góc với đường thẳng x + 3y - 2 = 0
Câu 2: (1 điểm)
Giải phương trình: √3cos2x - sin2x - 2cosx = 0
Câu 3: (1 điểm)
Giải bất phương trình:
![]()
Câu 4: (1 điểm)
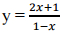
a. Tìm GTLN và GTNN của hàm số: f(x) = x2 (lnx - 1) trên [1;e]
![]()
Câu 5: (1 điểm)
Một tổ gồm 9 học sinh trong đó có 3 học sinh nữ. Cần chia tổ đó thành 3 nhóm đều nhau, mỗi nhóm có 3 học sinh. Tính xác suất để khi chia ngẫu nhiên ta được mỗi nhóm có đúng 1 học sinh nữ.
Câu 6: (1 điểm)

Câu 7 (1 điểm)

Câu 8: (1 điểm)
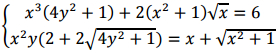
Giải hệ phương trình:

Câu 9: (1 điểm)
Cho các số thực a, b, c thỏa mãn a + b + c = 3
Tìm giá trị lớn nhất và giá trị nhỏ nhất của biểu thức:
![]()
Đáp án đề thi thử THPT Quốc gia môn Toán năm 2016
Câu 1.a

Câu 1.b

Câu 2

Câu 3

Câu 4
a. Tìm GTLN và GTNN của hàm số: f(x) = x2 (lnx - 1) trên [1;e]
Ta có: f(x) xác định và liên tục trên [1;e]
f'(x)= 2xlnx - x = x(2lnx - 1)
f'(x) = 0 ⇔ x = 0 hoặc x = √𝑒 ∈ [1;e]

Câu 5
Gọi phép thử T: "Chia 9 học sinh thành 3 nhóm"
- Chọn 3 học sinh từ 9 học sinh cho nhóm một: có 𝐶93 cách
- Chọn 3 học sinh từ 6 học sinh cho nhóm hai: có 𝐶63 cách
- Chọn 3 học sinh còn lại cho nhóm ba: có 𝐶33 cách
Do không quan tâm đến thứ tự của các nhóm
⇒ Số phần tử của không gian mẫu là: |Ω| = (𝐶93 . 𝐶63 . 𝐶33) : 3! = 280
Gọi A là biến cố: "Mỗi nhóm có đúng 1 học sinh nữ"
- Chia 6 học sinh nam thành 3 nhóm: tương tự trên có (𝐶92 . 𝐶62 . 𝐶22) : 3! cách
- Xếp 3 học sinh nữ vào 3 nhóm: có 3! cách
⇒ Số phần tử của biến cố A là: |A| = (𝐶92 . 𝐶62 . 𝐶22) = 90
Vậy: P(A) = |A| : |Ω| = 9/28
(Còn tiếp)