Đề thi thử vào lớp 10 môn Toán năm 2015 trường THCS Nguyễn Tất Thành, Hưng Yên
Đề thi thử vào lớp 10 môn Toán năm 2015 trường THCS Nguyễn Tất Thành, Hưng Yên là đề thi thử tuyển sinh vào lớp 10 môn Toán có đáp án dành cho các bạn tham khảo. Đây là tài liệu hữu ích, giúp các bạn ôn tập chuẩn bị trước kì thi tuyển sinh các trường THPT.
Đề thi thử vào lớp 10 môn Toán chuyên lần 3 năm học 2015-2016 trường THPT Chuyên Nguyễn Huệ, Hà Nội
Đề thi thử vào lớp 10 môn Toán năm 2015 trường THPT Chuyên Hà Nội - Amsterdam
Đề thi thử vào lớp 10 môn Toán
|
TRƯỜNG THCS NGUYỄN TẤT THÀNH |
KSCL TUYỂN SINH LỚP 10 THPT |
Câu 1 (1,5 điểm).
a) Không dùng máy tính, hãy rút gọn biểu thức sau:
![]()
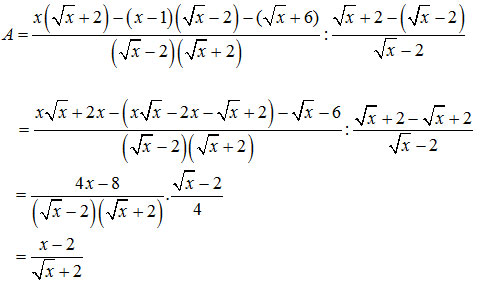
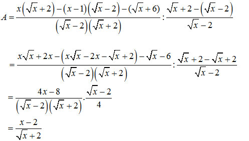
b) Rút gọn biểu thức sau:

Câu 2 (1,5 điểm).
| Giải hệ phương trình: | { | 17x + 2y = 2011|xy| |
| x - 2y = 3xy |
Câu 3 (1,5 điểm). Hai người thợ cùng làm một công việc trong 7 giờ 12 phút thì xong. Nếu người thứ nhất làm trong 5 giờ, người thứ 2 làm trong 6 giờ thì cả hai người làm được ¾ công việc. Hỏi mỗi người làm một mình công việc đó thì mấy giờ xong.
Câu 4 (1,5 điểm). Gọi x1, x2 là hai nghiệm của phương trình 2x2 + 3x - 26 = 0.
a. Hãy tính giá trị của biểu thức: C= x1(x2 + 1) + x2(x1 + 1)
b. Lập phương trình bậc hai nhận y1 = 1/(x1 + 1) và y2 = 1/(x2 + 1) là nghiệm.
Câu 5 (3,0 điểm).
Cho tam giác ABC có 3 góc nhọn, vẽ đường cao AD và BE. Gọi H là trực tâm của tam giác ABC.
a) Chứng minh: tanB.tanC = AD/HD
b) Chứng minh: DH.DA ≤ BC2/4
c) Gọi a, b, c lần lượt là độ dài các cạnh BC, CA, AB của tam giác ABC.
Chứng minh rằng: sin(A/2) ≤ a/ 2√bc
Câu 6 (1,0 điểm).
Cho 0 < a, b, c < 1 .Chứng minh rằng: 2a3 + 2b3 + 2c3 ≤ 3 + a2b + b2c + c2a.
Đáp án đề thi thử vào lớp 10 môn Toán
Câu 1 (1,5 điểm).
A = (√22 + 7√2)√(30 - 7√11) = (√11 + 7)√(60 - 14√11)
= (√11 + 7)√(7 - √11)2
= (√11 + 7) (7 - √11)
= 72 - (√11)2 = 38
Điều kiện xác định của B: x ≥ 0, x ≠ 4.
