Đề thi thử vào lớp 10 môn Toán năm học 2015 - 2016 trường THCS Hòa Tân, Đồng Tháp
Đề thi tuyển sinh vào lớp 10 môn Toán
Đề thi thử vào lớp 10 môn Toán năm học 2015 - 2016 trường THCS Hòa Tân, Đồng Tháp là đề thi vào lớp 10 môn Toán có đáp án hay dành cho các bạn tham khảo, thử sức với các dạng đề thi, làm quen nhiều dạng câu hỏi, nhằm chuẩn bị tốt trước khi bước vào kì thi tuyển sinh vào lớp 10 sắp tới.
Đề thi tuyển sinh vào lớp 10 môn Toán năm học 2014-2015 trường THPT Đoàn Thượng, Hải Dương
Đề thi thử vào lớp 10 môn Toán năm 2015 trường THCS Nguyễn Tất Thành, Hưng Yên
|
PHÒNG GIÁO DỤC VÀ ĐÀO TẠO CHÂU THÀNH ĐỀ THAM KHẢO |
ĐỀ THI TUYỄN SINH LỚP 10 |
Câu I: (2,0 điểm)
1. Tính giá trị của biểu thức: A = 3√25 - √36 - √64 (1 điểm)
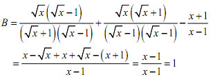
(1 điểm)
Câu II: (1,5 điểm)
Cho hàm số y = x2 có đồ thị là (P) và hàm số y = k.x + 3 có đồ thị là (d)
- Tìm k biết rằng (d) đi qua điểm M(1;5) (1 điểm)
- Khi k = 2, chứng tỏ (P) và (d) cắt nhau tại 2 điểm phân biệt (0,5 điểm)
Câu III: (2,5 điểm)
1. Giải hệ phương trình: (1điểm)
| { | x - y = 3 |
| 3x + 2y = 19 |
2. Cho phương trình bậc hai ẩn x, tham số m: x2 – x + (m + 1) = 0 (0.5 điểm)
Tìm m để phương trình có hai nghiệm x1, x2 thỏa mãn biểu thức: x1 + x2 + x1.x2 = 1
3. Giải bài toán sau bằng cách lập phương trình: (1 điểm)
Quãng đường AB dài 260 km. Hai ôtô khởi hành cùng một lúc đi từ A đến B. Ôtô thứ nhất chạy nhanh hơn ôtô thứ hai 10 km/h, nên đến B trước ôtô thứ hai là 32 phút. Tìm vận tốc của mỗi ôtô.
Câu IV: (2,0 điểm)
Cho ABC cân tại A, kẻ AH ┴ BC (H ϵ BC), biết AB = 25cm, BC = 30cm.
1. Từ H kẻ HI ┴ AB (I ϵ AB) và kẻ ID ┴ AH (D ϵ AH).
Chứng minh rằng: IA.IB = AH.DH (1 điểm)
2. Tính AI. (1 điểm)
Câu V: (2,0 điểm)
Cho ΔABC (AB >AC; góc BAC > 900) I; K theo thứ tự là trung điểm của AB, AC. Các đường tròn đường kính AB và AC cắt nhau tại điểm thứ hai D; tia BA cắt đường tròn (K) tại điểm thứ hai E, tia CA cắt đường tròn (I) tại điểm thứ hai F.
- Chứng minh rằng 3 điểm B;C;D thẳng hàng (0.5 điểm)
- Chứng minh rằng tứ giác BFEC nội tiếp (0.5 điểm)
- Chứng minh 3 đường thẳng AD, BF, CE đồng quy? (1 điểm)
Đáp án đề thi tuyển sinh vào lớp 10 môn Toán
Câu I: (2,0 điểm)
1. Tính giá trị của biểu thức: A = 3√25 - √36 - √64
= 3.5 - 6 - 8
= 15 - 14 = 1
Vậy A = 1.


Vậy B = 1.
Câu II (2,0 điểm)
1. Tìm k biết rằng (d): y = ax + 3 đi qua điểm M(1;5)
Thay x = 1; y = 5 vào (d) ta được : 5 = k .1+ 3 ↔ k = 5 – 3 = 2
Vậy k = 2
2. Khi k = 2, ta có (d): y = 2x +3
Nếu (P) và (d) cắt nhau tại 2 điểm phân biệt thì phương trình định hoành độ giao điểm giữa (P) và (d): x2 - 3x - 3 = 0 có 2 nghiệm phân biệt tức là Δ > 0.
Thật vậy: Δ = b2 - 4ac = (-2)2 - 4.1.(-3) = 16 > 0 → đpcm!
Câu III: (2,5 điểm)
1. Giải hệ phương trình:

Vậy hệ phương trình có nghiệm duy nhất (x; y) = (5; 2).