Giao diện mới của VnDoc Pro: Dễ sử dụng hơn - chỉ tập trung vào lớp bạn quan tâm. Vui lòng chọn lớp mà bạn quan tâm: Lưu và trải nghiệm
Đóng
Điểm danh hàng ngày
  • Hôm nay +3
  • Ngày 2 +3
  • Ngày 3 +3
  • Ngày 4 +3
  • Ngày 5 +3
  • Ngày 6 +3
  • Ngày 7 +5
Bạn đã điểm danh Hôm nay và nhận 3 điểm!
Nhắn tin Zalo VNDOC để nhận tư vấn mua gói Thành viên hoặc tải tài liệu Hotline hỗ trợ: 0936 120 169

Đề thi tuyển sinh lớp 10 THPT chuyên Amsterdam, Nguyễn Huệ năm 2013 - 2014

Lớp: Lớp 10
Loại File: Word
Phân loại: Tài liệu Tính phí

Vndoc.com xin giới thiệu đến các bạn lớp 9, chuẩn bị thi lên lớp 10: Đề thi tuyển sinh lớp 10 THPT chuyên Amsterdam, chuyên Nguyễn Huệ năm học 2013 - 2014 môn Toán.

Đề thi tuyển sinh lớp 10 môn Toán:

SỞ GIÁO DỤC VÀ ĐÀO TẠO
HÀ NỘI

ĐỀ THI CHÍNH THỨC

KỲ THI TUYỂN SINH VÀO LỚP 10 THPT CHUYÊN
AMSTERDAM, NGUYỄN HUỆ
NĂM HỌC 2012 - 2013

MÔN THI: TOÁN
Thời gian làm bài: 120 phút (không kể thời gian giao đề)

Bài 1:

1) Tìm các số tự nhiên n để 72013 + 3n có chữ số hàng đơn vị là 8.

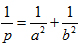
2) Cho a, b là các số tự nhiên lớn hơn 2 và p là số tự nhiên thỏa mãn . Chứng minh p là hợp số.

Bài 2:

1) Tìm các số nguyên x, y thỏa mãn x2 − 3y2 + 2xy − 2x + 6y − 8 = 0.

2) Giải hệ phương trình:

Bài 3:

Cho a, b là các số thực thỏa mãn a + b + 4ab = 4a2 + 4b2. Tìm giá trị lớn nhất của biểu thức

A = 20(a3 + b3) − 6(a2 + b2) + 2013.

Bài 4:

Cho tam giác ABC không phải là tam giác cân. Đường tròn (O) tiếp xúc vói BC, AC, AB lần lượt tại M, N, P. Đường thẳng NP cắt BO, CO lần lượt tại E và F.

1) Chứng minh rằng góc OEN và OCA bằng nhau hoặc bù nhau.

2) Bốn điểm B, C, E, F thuộc 1 đường tròn.

3) Gọi K là tâm đường tròn ngoại tiếp OEF. Chứng minh O, M, K thẳng hàng.

Bài 5:

Trong mặt phẳng cho 6 điểm A1, A2,..., A6 trong đó không có 3 điểm nào thẳng hàng và trong 3 điểm luôn có 2 điểm có khoảng cách nhỏ hơn 671. Chứng minh rằng trong 6 điểm đã cho luôn tồn tại 3 điểm là 3 đỉnh của 1 tam giác có chu vi nhỏ hơn 2013.

Chọn file muốn tải về:
Đóng Chỉ thành viên VnDoc PRO/PROPLUS tải được nội dung này!
Đóng
79.000 / tháng
Đặc quyền các gói Thành viên
PRO
Phổ biến nhất
PRO+
Tải tài liệu Cao cấp 1 Lớp
30 lượt tải tài liệu
Xem nội dung bài viết
Trải nghiệm Không quảng cáo
Làm bài trắc nghiệm không giới hạn
Mua cả năm Tiết kiệm tới 48%
18

Có thể bạn quan tâm

Xác thực tài khoản!

Theo Nghị định 147/2024/ND-CP, bạn cần xác thực tài khoản trước khi sử dụng tính năng này. Chúng tôi sẽ gửi mã xác thực qua SMS hoặc Zalo tới số điện thoại mà bạn nhập dưới đây:

Số điện thoại chưa đúng định dạng!
Số điện thoại này đã được xác thực!
Bạn có thể dùng Sđt này đăng nhập tại đây!
Lỗi gửi SMS, liên hệ Admin
Sắp xếp theo
🖼️

Lớp 10

Xem thêm
🖼️

Gợi ý cho bạn

Xem thêm