Đề thi tuyển sinh lớp 10 THPT năm học 2013 môn Toán - tỉnh Hà Tĩnh
Nhằm giúp các bạn chuẩn bị thật tốt kiến thức để làm bài thi đạt hiệu quả cao, Vndoc.com xin giới thiệu: Đề thi tuyển sinh lớp 10 THPT năm học 2013 môn Toán - tỉnh Hà Tĩnh.
Đề thi tuyển sinh lớp 10 môn Toán:
|
SỞ GIÁO DỤC VÀ ĐÀO TẠO ĐỀ THI CHÍNH THỨC |
ĐỀ THI TUYỂN SINH LỚP 10 THPT NĂM HỌC 2012-2013 Môn thi: Toán Thời gian: 120 phút không kể thời gian giao đề Ngày thi 28 tháng 6 năm 2012 |
Câu 1 (2điểm)
a) Trục căn thức ở mẩu của biểu thức: 
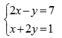
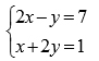
b) Giải hệ phương trình: 
Câu 2 (2điểm)
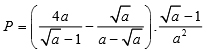
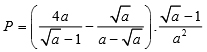
Cho biểu thức:
với a >0 và A # 1
a) Rút gọn biểu thức P.
b) Với những giá trị nào của a thì P = 3.
Câu 3 (2điểm)
a) Trong mặt phẳng tọa độ Oxy, đường thẳng y = ax + b đi qua điểm M(–1 ; 2) và song song với đường thẳng y = 2x + 1. Tìm a và b.
b) Gọi x1, x2 là hai nghiệm của phương trình x2 + 4x – m2 – 5m = 0. Tìm các giá trị của m sao cho: |x1 – x2| = 4.
Câu 4 (3điểm)
Cho tam giác ABC có ba góc nhọn, nội tiếp đường tròn tâm O. Hai đường cao AD, BE cắt nhau tại H (D thuộc BC, E thuộc AC).
a) Chứng minh tứ giác ABDE nội tiếp đường tròn.
b) Tia AO cắt đường tròn (O) tại K ( K khác A). Chứng minh tứ giác BHCK là hình bình hành.
c) Gọi F là giao điểm của tia CH với AB. Tìm giá trị nhỏ nhất của biểu thức: 
Câu 5 (1điểm) Tìm tất cả các giá trị của tham số m để phương trình sau vô nghiệm: x2 – 4x – 2m|x – 2| – m + 6 = 0.