Đề thi tuyển sinh lớp 10 THPT tỉnh Bến Tre năm học 2012 - 2013 môn Toán
Đề chuẩn bị cho kỳ thi vào cấp 3 sắp tới, Vndoc.com xin gửi đến các bạn: Đề thi tuyển sinh lớp 10 THPT tỉnh Bến Tre năm học 2012 - 2013 môn Toán.
Đề thi tuyển sinh lớp 10 môn Toán:
SỞ GIÁO DỤC VÀ ĐÀO TẠO
|
KỲ THI TUYỂN SINH VÀO LỚP 10 THPT CHUYÊN
|
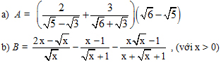
Câu 1 (2,0 điểm).
Không dùng máy tính bỏ túi, hãy rút gọn các biểu thức sau:
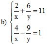
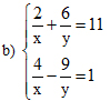
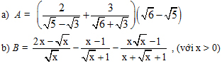
Câu 2 (2,5 điểm).
Giải phương trình và hệ phương trình sau:
a) (x2 - x + 1)2 - 3(x2 - x + 1) - 4 = 0
b) 
Câu 3 (2,5 điểm).
a) Chứng minh rằng phương trình x2 - 2mx + 3m - 8 = 0 luôn có hai nghiệm phân biệt x1; x2 với mọi m. Với giá trị nào của m thì hai nghiệm x1; x2 thỏa mãn (x1 - 2)(x2 - 2) < 0
b) Cho x, y, z là ba số thực dương thỏa: x2 + y2 + z2 = 1. Chứng minh rằng:
. Đẳng thức xảy ra khi nào?
Câu 4 (3,0 điểm).
Cho nửa đường tròn tâm O đường kính AB. Từ A, B vẽ các tiếp tuyến Ax, By về phía có chứa nửa đường tròn (O). Lấy điểm M thuộc đoạn thẳng OA; điểm N thuộc nửa đường tròn (O). Đường tròn (O’) ngoại tiếp tam giác AMN cắt Ax tại C; đường thẳng CN cắt By tại D.
a) Chứng minh tứ giác BMND nội tiếp.
b) Chứng minh DM là tiếp tuyến của đường tròn (O’).
c/ Gọi I là giao điểm của AN và CM; K là giao điểm của BN và DM. Chứng minh IK song song AB.