Giao diện mới của VnDoc Pro: Dễ sử dụng hơn - chỉ tập trung vào lớp bạn quan tâm. Vui lòng chọn lớp mà bạn quan tâm: Lưu và trải nghiệm
Đóng
Điểm danh hàng ngày
  • Hôm nay +3
  • Ngày 2 +3
  • Ngày 3 +3
  • Ngày 4 +3
  • Ngày 5 +3
  • Ngày 6 +3
  • Ngày 7 +5
Bạn đã điểm danh Hôm nay và nhận 3 điểm!
Nhắn tin Zalo VNDOC để nhận tư vấn mua gói Thành viên hoặc tải tài liệu Hotline hỗ trợ: 0936 120 169

Đề thi tuyển sinh lớp 10 THPT tỉnh Đăk Lăk năm học 2013 - 2014 môn Toán

Lớp: Lớp 10
Loại File: PDF
Phân loại: Tài liệu Tính phí

Nhằm giúp các bạn chuẩn bị thật tốt kiến thức đề làm bài thi đạt hiệu quả cao, Vndoc.com xin giới thiệu: Đề thi tuyển sinh lớp 10 THPT tỉnh Đăk Lăk năm học 2013 - 2014 môn Toán (Có đáp án).

Đề thi tuyển sinh lớp 10 môn Toán:

SỞ GIÁO DỤC VÀ ĐÀO TẠO
ĐĂK LĂK

ĐỀ THI CHÍNH THỨC

KÌ THI TUYỂN SINH LỚP 10 THPT
NĂM HỌC 2013 - 2014

MÔN THI: TOÁN
Ngày thi: 25/06/2013
Thời gian làm bài: 120 phút (không kể thời gian giao đề)

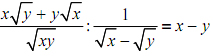
Câu 1: (1,5 điểm)

1) Rút gọn biểu thức:

2) Chứng minh rằng: ; với x > 0, y > 0 và x # y

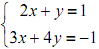
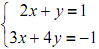
Câu 2: (2,0 điểm)

1) Giải hệ phương trình

2) Giải phương trình:

Câu 3: (2,0 điểm)

Cho phương trình x2 + 2(m + 1)x + m2 = 0 (m là tham số)

1) Tìm m để phương trình có nghiệm.

2) Tìm m để phương trình có hai nghiệm x1, x2 sao cho x12 + x22 - 5x1x2 = 13

Câu 4: (3,5 điểm)

Cho đường tròn (O), đường kính AB. Vẽ các tiếp tuyến Ax, By của đường tròn. M là một điểm trên đường tròn (M khác A, B). Tiếp tuyến tại M của đường tròn cắt Ax, By lần lượt tại P, Q.

1) Chứng minh rằng: tứ giác APMO nội tiếp.

2) Chứng minh rằng: AP + BQ = PQ.

3) Chứng minh rằng: AP.BQ=AO2

4) Khi điểm M di động trên đường tròn (O), tìm các vị trí của điểm M sao cho diện tích tứ giác APQB nhỏ nhất.

Câu 5: (1,0 điểm)

Cho các số thực x, y thỏa mãn: x + 3y = 5. Tìm giá trị nhỏ nhất của biểu thức: A = x2 + y2 + 16y + 2x

Chọn file muốn tải về:
Đóng Chỉ thành viên VnDoc PRO/PROPLUS tải được nội dung này!
Đóng
79.000 / tháng
Đặc quyền các gói Thành viên
PRO
Phổ biến nhất
PRO+
Tải tài liệu Cao cấp 1 Lớp
30 lượt tải tài liệu
Xem nội dung bài viết
Trải nghiệm Không quảng cáo
Làm bài trắc nghiệm không giới hạn
Mua cả năm Tiết kiệm tới 48%

Có thể bạn quan tâm

Xác thực tài khoản!

Theo Nghị định 147/2024/ND-CP, bạn cần xác thực tài khoản trước khi sử dụng tính năng này. Chúng tôi sẽ gửi mã xác thực qua SMS hoặc Zalo tới số điện thoại mà bạn nhập dưới đây:

Số điện thoại chưa đúng định dạng!
Số điện thoại này đã được xác thực!
Bạn có thể dùng Sđt này đăng nhập tại đây!
Lỗi gửi SMS, liên hệ Admin
Sắp xếp theo
🖼️

Lớp 10

Xem thêm
🖼️

Gợi ý cho bạn

Xem thêm