Giao diện mới của VnDoc Pro: Dễ sử dụng hơn - chỉ tập trung vào lớp bạn quan tâm. Vui lòng chọn lớp mà bạn quan tâm: Lưu và trải nghiệm
Đóng
Điểm danh hàng ngày
  • Hôm nay +3
  • Ngày 2 +3
  • Ngày 3 +3
  • Ngày 4 +3
  • Ngày 5 +3
  • Ngày 6 +3
  • Ngày 7 +5
Bạn đã điểm danh Hôm nay và nhận 3 điểm!
Nhắn tin Zalo VNDOC để nhận tư vấn mua gói Thành viên hoặc tải tài liệu Hotline hỗ trợ: 0936 120 169

Đề thi tuyển sinh lớp 10 THPT tỉnh Đồng Nai năm 2011 - 2012

Lớp: Lớp 10
Loại File: Word
Phân loại: Tài liệu Tính phí

Vndoc.com xin giới thiệu đến các bạn lớp 9, chuẩn bị thi lên lớp 10: Đề thi tuyển sinh lớp 10 THPT tỉnh Đồng Nai năm 2011 - 2012.

Đề thi tuyển sinh lớp 10 môn Toán:

SỞ GIÁO DỤC VÀ ĐÀO TẠO
ĐỒNG NAI

ĐỀ THI CHÍNH THỨC

ĐỀ THI TUYỂN SINH VÀO LỚP 10
NĂM HỌC: 2011 - 2012

MÔN: TOÁN

Câu 1. (1,5 điểm).

1/ Giải phương trình: 7x2 – 8x – 9 =0;

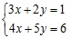
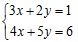
2/ Giải hệ phương trình:

Câu 2. (2 điểm)

1/ Rút gọn các biểu thức:

2/ Cho x1; x2 là nghiệm của phương trình: x2 – x – 1 = 0. Tính

Câu 3. (1,5 điểm).

Trong mặt phẳng với hệ trục tọa độ Oxy cho các hàm số y = 3x2 có đồ thị là (P); y = 2x – 3 có đồ thị là (d); y = kx + n có đồ thị là (d1), với k, n là những số thực.

1/ Vẽ đồ thị (P)

2/ Tìm k và n biết (d1) đi qua điểm T(1 ; 2) và (d1) // (d).

Câu 4.

Một thửa đất hình chữ nhật có chu vi bằng 198 m, diện tích bằng 2430m2. Tính chiều dài và chiều rộng của thửa đất hình chữ nhật đã cho.

Câu 5. (3,5 điểm)

Cho hình vuông ABCD. Lấy điểm E thuộc cạnh BC, với E không trùng B và E không trùng C. Vẽ EF vuông góc với AE, với F thuộc CD. Đường thẳng AF cắt đường thẳng BC điểm điểm G. Vẽ đường thằng a đi qua điểm A và vuông góc với AE, đường thẳng a cắt đường thẳng DE tại điểm H.

1) Chứng minh rằng:

2) Chứng minh rằng tứ giác AEGH là tứ giác nội tiếp đường tròn;

3) Gọi b là tiếp tuyến của đường tròn ngoại tiếp tam giác AHE tại E, biết b cắt đường trung trực của đoạn thẳng EG tại điểm K. Chứng minh rằng KG là tiếp tuyến của đường tròn ngoại tiếp tam giác AHE.

Chọn file muốn tải về:
Đóng Chỉ thành viên VnDoc PRO/PROPLUS tải được nội dung này!
Đóng
79.000 / tháng
Đặc quyền các gói Thành viên
PRO
Phổ biến nhất
PRO+
Tải tài liệu Cao cấp 1 Lớp
30 lượt tải tài liệu
Xem nội dung bài viết
Trải nghiệm Không quảng cáo
Làm bài trắc nghiệm không giới hạn
Mua cả năm Tiết kiệm tới 48%
25

Có thể bạn quan tâm

Xác thực tài khoản!

Theo Nghị định 147/2024/ND-CP, bạn cần xác thực tài khoản trước khi sử dụng tính năng này. Chúng tôi sẽ gửi mã xác thực qua SMS hoặc Zalo tới số điện thoại mà bạn nhập dưới đây:

Số điện thoại chưa đúng định dạng!
Số điện thoại này đã được xác thực!
Bạn có thể dùng Sđt này đăng nhập tại đây!
Lỗi gửi SMS, liên hệ Admin
Sắp xếp theo
🖼️

Lớp 10

Xem thêm
🖼️

Gợi ý cho bạn

Xem thêm