Đề thi tuyển sinh lớp 10 THPT tỉnh Hà Nam năm học 2012 - 2013 môn Toán - Có đáp án
Để chuẩn bị cho kỳ thi vào cấp 3 sắp tới, Vndoc.com xin gửi đến các bạn: Đề thi tuyển sinh lớp 10 THPT tỉnh Hà Nam năm học 2012 - 2013 môn Toán - Có đáp án.
Đề thi tuyển sinh lớp 10 môn Toán:
SỞ GIÁO DỤC VÀ ĐÀO TẠO
|
KỲ THI TUYỂN SINH LỚP 10 THPT
|
Câu 1 (1,5 điểm)
Rút gọn các biểu thức sau:
Câu 2: (2 điểm)
a. Giải phương trình: x2 – 5x + 4 = 0
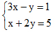
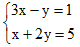
b. Giải hệ phương trình: ![]()
Câu 3: (2 điểm)
Trong mặt phẳng toạ độ Oxy cho Parabol (P) có phương trình: y = x2 và đường thẳng (d) có phương trình: y = 2mx – 2m + 3 (m là tham số)
a. Tìm toạ độ các điểm thuộc (P) biết tung độ của chúng bằng 2
b. Chứng minh rằng (P) và (d) cắt nhau tại hai điểm phân biệt với mọi m. Gọi y1, y2 là các tung độ giao điểm của (P) và (d), tìm m để y1 + y2 < 9
Câu 4: (3,5 điểm)
Cho đường tròn tâm O, đường kính AB. Trên tiếp tuyến của đường tròn (O) tại A lấy điểm M (M khác A). Từ M vẽ tiếp tuyến thứ hai MC với (O) (C là tiếp điểm). Kẻ CH vuông góc với AB (H thuộc AB), MB cắt (O) tại điểm thứ hai là K và cắt CH tại N. Chứng minh rằng:
a. Tứ giác AKNH là tứ giác nội tiếp.
b. AM2 = MK.MB
c. Góc KAC bằng góc OMB
d. N là trung điểm của CH.
Câu 5 (1 điểm)
Cho ba số thực a, b, c thoả mãn. Tìm giá trị lớn nhất của biểu thức: ![]()