Đề thi tuyển sinh lớp 10 THPT tỉnh Quảng Bình năm học 2012 - 2013 môn Toán (Chuyên) - Có đáp án
Nhằm giúp các bạn chuẩn bị thật tốt kiến thức để làm bài thi đạt hiệu quả cao, Vndoc.com xin giới thiệu: Đề thi tuyển sinh lớp 10 THPT tỉnh Quảng Bình năm học 2012 - 2013 môn Toán (Chuyên) - Có đáp án.
Đề thi tuyển sinh lớp 10 môn Toán (Chuyên):
SỞ GIÁO DỤC VÀ ĐÀO TẠO
|
KỲ THI TUYỂN SINH VÀO LỚP 10 THPT
|
MÔN THI: TOÁN (CHUYÊN)
Thời gian làm bài: 150 phút (không kể thời gian giao đề)
--------------------------------------------------------------------------------
Câu 1: (2,0 điểm)
Cho phương trình: x2 - 2x + 4a = 0 (x là ẩn số). Giả sử hai nghiệm x1, x2 của phương trình là số đo hai cạnh góc vuông của một tam giác.
a) Tìm các giá trị của a để diện tích của tam giác vuông bằng 1/3 (đơn vị diện tích).
b) Tìm giá trị nhỏ nhất của biểu thức
.
Câu 2: (2,0 điểm)
Giải phương trình: 
Câu 3: (1,5 điểm)
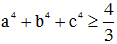
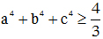
Cho các số thực a, b, c thoả mãn: ab + bc + ca = 2
Chứng minh:
.
Câu 4: (3,5 điểm)
Cho tam giác ABC vuông tại A, nội tiếp trong đường tròn (O). Trên cung BC không chứa A, lấy điểm M tuỳ ý (M khác C). P là điểm trên cạnh BC sao cho góc BAM = góc PAC. Trên các tia AB, AC lấy lần lượt các điểm E, F sao cho BE = CF = BC.
a) Chứng minh: ΔABP : ΔAMC và MC.AB + MB.AC = MA.BC
b) Chứng minh: ![]()
c) Xác định vị trí điểm N trên đường tròn (O) để tổng NA + NB + NC lớn nhất.
Câu 5: (1,0 điểm)
Cho các số nguyên a, b, c, d và số nguyên dương p. Chứng minh rằng nếu a + b + c + d, a2 + b2 + c2 + d2 chia hết cho p thì a4 + b4 + c4 + d4 cũng chia hết cho p.