Đề thi tuyển sinh lớp 10 THPT tỉnh Quảng Ngãi năm học 2014 - 2015 môn Toán (không chuyên)
Đề thi vào lớp 10 môn Toán
VnDoc.com xin giới thiệu đến các bạn học sinh lớp 9, chuẩn bị thi lên lớp 10 đề thi tuyển sinh lớp 10 THPT tỉnh Quảng Ngãi năm học 2014 - 2015 môn Toán (không chuyên) có đáp án. Tài liệu này giúp các bạn tự ôn tập kiến thức, nhằm đạt kết quả tốt trong kì thi của mình. Mời các bạn tham khảo.
Đề thi tuyển sinh lớp 10 THPT tỉnh Quảng Ngãi năm học 2013 - 2014 môn Toán
Đề thi tuyển sinh lớp 10 THPT tỉnh Quảng Ngãi năm học 2012 - 2013 môn Toán
Nội dung đề thi vào lớp 10 môn Toán:
|
SỞ GIÁO DỤC VÀ ĐÀO TẠO ĐỀ CHÍNH THỨC |
KỲ THI TUYỂN SINH VÀO LỚP 10 THPT |
Bài 1: (1,5 điểm)
a/ Tính: 2√25 + 3√4
b/ Xác định a và b để đồ thị hàm số y = ax + b đi qua điểm A(1; 2) và điểm B(3; 4)

Bài 2: (2,0 điểm)
1/ Giải phương trình x4 + 5x2 - 36 = 0
2/ Cho phương trình x2 - (3m + 1)x + 2m2 + m - 1 = 0 (1) với m là tham số.
a/ Chứng minh phương trình (1) luôn có hai nghiệm phân biệt với mọi giá trị của m.
b/ Gọi x1, x2 là các nghiệm của phương trình (1). Tìm m để biểu thức B = x12 + x22 - 3x1x2 đạt giá trị lớn nhất.
Bài 3: (2,0 điểm)
Để chuẩn bị cho một chuyến đi đánh bắt cá ở Hoàng Sa, hai ngư dân đảo Lý Sơn cần chuyển một số lương thực, thực phẩm lên tàu. Nếu người thứ nhất chuyển xong một nửa số lương thực, thực phẩm; sau đó người thứ hai chuyển hết số còn lại lên tàu thì thời gian người thứ hai hoàn thành lâu hơn người thứ nhất là 3 giờ. Nếu cả hai cùng làm chung thì thời gian chuyển hết số lương thực, thực phẩm lên tàu là 20/7 giờ. Hỏi nếu làm riêng một mình thì mỗi người chuyển hết số lương thực, thực phẩm đó lên tàu trong thời gian bao lâu?
Bài 4: (3,5 điểm)
Cho nửa đường tròn tâm O, đường kính AB = 2R. Gọi M là điểm chính giữa của cung AB; P là điểm thuộc cung MB (P khác M và P khác B). Đường thẳng AP cắt đường thẳng OM tại C; đường thẳng OM cắt đường thẳng BP tại D. Tiếp tuyến của nửa đường tròn ở P cắt cắt CD tại I.
a/ Chứng minh OADP là tứ giác nội tiếp đường tròn.
b/ Chứng minh OB.AC = OC.BD.
c/ Tìm vị trí của điểm P trên cung MB để tam giác PIC là tam giác đều. Khi đó hãy tính diện tích của tam giác PIC theo R.
Bài 5: (1,0 điểm)
Cho biểu thức A = (4x5 + 4x4 - 5x3 + 5x - 2)2014 + 2015. Tính giá trị của biểu thức A khi:

Đề thi thử vào lớp 10 môn Tiếng Anh chuyên trường THPT Hà Nội - Amsterdam năm 2015
Đề thi thử vào lớp 10 môn Toán năm 2015 trường THPT Chuyên Hà Nội - Amsterdam
Đề thi thử vào lớp 10 môn Ngữ Văn năm 2015 trường THPT Chuyên Hà Nội - Amsterdam
Đáp án đề thi vào lớp 10 môn Toán
Bài 1:
a/ Tính: 2√25 + 3√4 = 10 + 6 = 16
b/ Đồ thị hàm số y = ax + b đi qua A(1; 2) nên a + b = 2, và B(3; 4) nên 3a - b = 4.
Suy ra a = 3, b = 5. Vậy (d): y = 3x + 5
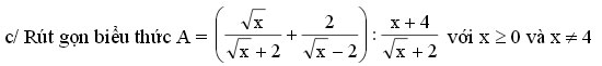
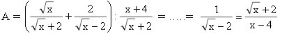
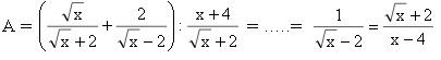
c/ Với x ≥ 0 và x ≠ 4 ta có:

Bài 2:
1/ Giải phương trình x4 + 5x2 - 36 = 0
Đặt t = x2 ( t ≥ 0) ta có phương trình t2 + 5t - 36 = 0. Δt = 25 4.1.(-36) = 169
→ t1 = 4 (tmđk); t2 = -9 (loại). Với t = 4 → x2 = 4 → x = 2
2/ a/ Với m là tham số, phương trình x2 - (3m + 1)x + 2m2 + m - 1 = 0 (1)
Có Δ = [-(3m + 1)]2 - 4.1.( 2m2 + m 1) = m2 + 2m + 5 = (m + 1)2 + 4 > 0 với mọi m
Vậy phương trình (1) luôn có hai nghiệm phân biệt với mọi giá trị của m.
b/ Gọi x1, x2 là các nghiệm của phương trình (1). Ta có x1 + x2 = 3m + 1; x1x2 = 2m2 + m - 1
B = x12 + x22 - 3x1x2 = (x1 + x2)2 - 5x1x2 = (3m + 1)2 - 5(2m2 + m - 1) = -(m2 - m - 6)
B = -(m - 1/2)2 + 13/2 ≥ 13/2. Dấu “=” xảy ra ↔ m - 1/2 = 0 → m = 1/2.
Vậy Bmin = 13/2 khi m = 1/2.