Giải bài tập trang 195 SGK Vật lý lớp 11: Giải bài toán về hệ thấu kính
Giải bài tập trang 195 SGK Vật lý lớp 11
VnDoc.com xin giới thiệu tới bạn đọc tài liệu: Giải bài tập trang 195 SGK Vật lý lớp 11: Giải bài toán về hệ thấu kính với bộ câu hỏi có đáp án sẽ giúp các em học sinh làm bài tập một cách dễ dàng và chính xác hơn. Mời các em và thầy cô tham khảo chi tiết tại đây.
- Giải bài tập trang 172 SGK Vật lý lớp 11: Phản xạ toàn phần
- Giải bài tập trang 179 SGK Vật lý lớp 11: Lăng kính
- Giải bài tập trang 189 SGK Vật lý lớp 11: Thấu kính mỏng
Giải bài tập trang 195 SGK Vật lý lớp 11: Giải bài toán về hệ thấu kính vừa được VnDoc.com sưu tập và xin gửi tới bạn đọc cùng tham khảo. Bài viết được tổng hợp lời giải của 5 bài tập trong sách giáo khoa môn Vật lý lớp 11. Mời các bạn cùng tham khảo chi tiết và tải về tại đây.
Giải bài tập trang 195 SGK Vật lý lớp 11: Giải bài toán về hệ thấu kính
Bài 1 (trang 195 SGK Vật Lý 11)
Một học sinh bố trí thí nghiệm theo sơ đồ hình 30.1.
Thấu kính phân kỳ (O1) có tiêu cự là f1=-10cm. Khoảng cách từ ảnh S1 tạo bởi (O1) đến màn có giá trị nào?
A. 60cm
B. 80cm
C. Một giá trị khác A,B
D. Không xác định được, vì không có vật nên L1 không tạo được ảnh.
Lời giải:
Từ hình 30.1, chùm tia tới là chùm song song:
=>d=∞=>d'=f1=-10cm<0
S1 là ảnh ảo nằm tại tiêu điểm ảnh F', tức là trước thấu kính và cách thấu kính 10cm.
Khoảng cách từ ảnh S1 tạo bởi (O1) đến màn bằng :
S1 H=S1 O+OH=|d' |+l=10+70=80cm
Đáp án: B
Bài 2 (trang 195 SGK Vật Lý 11)
Tiếp theo các giả thiết cho ở bài tập 30.1.
Đặt giữa O1 và H một thấu kính hội tụ (O2). Khi xê dịch (O2) học sinh này nhận thấy chỉ có một vị trí duy nhất của (O2) tạo được điểm sáng tại H.Tiêu cự của (O2) là bao nhiêu?
A. 10cm
B. 15cm.
C. 20cm.
D. Một giá trị khác A,B,C.
Lời giải:
Sơ đồ tạo ảnh qua hệ thấu kính:

Đáp án: C
Bài 3 (trang 195 SGK Vật Lý 11)
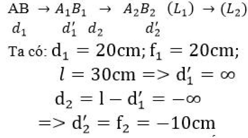
Hai thấu kính, một hội tụ (f1=20cm), một phân kỳ (f2=-10cm), có cùng trục chính. Khoảng cách hai quang tâm là l=30cm. Vật AB vuông góc với trục chính được đặt bên trái (L1) và cách (L1) một đoạn d1.
a) Cho d1=20cm, hãy xác định vị trí và tính số phóng đại ảnh cuối cùng cho bởi hệ hai thấu kính. Vẽ ảnh.
b) Thấu kính d1 để ảnh sau cùng là ảnh ảo và bằng hai lần vật.
Lời giải:
a) Sơ đồ tạo ảnh:

Vẽ hình 30.2. Từ hình 30.2 ta thấy:
Vì A1 B1 ở vô cực nên chùm tia sáng từ AB tới qua tâm O1 sẽ qua A1 B1 và là chùm tia song song . Tương tự, chùm tai sáng từ A1 B1 tới qua tâm O2 sẽ qua A2 B2 cùng là chùm tia song song.
=> tam giác ABO1 đồng dạng với tam giác A2 B2 O2 suy ra:

Giải ra được: d1=35cm ( nhận)và d1=45cm (loại)
Đáp số: a)d2'=-10cm;k=1/2;b) d1=35 cm
Bài 4 (trang 195 SGK Vật Lý 11)
Một hệ bao gồm hai thấu kính (L1 ) và (L2) đồng trục có tiêu điểm ảnh chính của (L1) trùng với tiểu điểm chính của (L2). Chiếu một chùm tia sáng song song tới (L1) theo bất kì.
a) Chứng minh chùm tia ló ra khỏi (L2) cũng là chùm tia ló song song.
b) Vẽ đường đi của chùm tia sáng ứng với các trườn hợp:
- (L1) và (L2) đều là thấu kính hội tụ.
- (L1) là thấu kính hội tụ; (L2) là thấu kính phân kì.
- (L1) là thấu kính phân kì; (L2) là thấu kính hội tụ.
Lời giải:
a) Sơ đồ tạo ảnh qua hệ thấu kính:
Trong đó:
Hệ gồm hai thấu kính L1 và L2 đồng trục có tiêu điểm ảnh chính của (L1) trùng với tiêu điểm vật chính của L2 => a=O1 O2=f1+f2
Chùm tia sáng tới song song: > d1=∞=>d1'=f1
=> d2=a-d1'=f2=> d2'=∞
=> chùm tia ló ra khỏi (L2) cũng là chùm tia song song.
b) Vẽ đường đi của chùm tia sáng ứng với các trường hợp:
(L1 )và (L2 ) đều là thấu kính hội tụ: hình 30.3a
L1 là thấu kính hội tụ; L2 là thấu kính phân kì: Hình 30.3b
L1 là thấu kính phân kì; L2 là thấu kính hội tụ: Hình 30.3c
Bài 5 (trang 195 SGK Vật Lý 11)
Một thấu kính mỏng phẳng -lồi L1 có tiêu cự f1=60 cm được ghép sát đồng trục với một thâu kính mỏng phẳng - lồi khác L2 có tiêu cự f2=30 cm.Mặt phẳng có hai thấu kính sát nhau.
Thấu kính (L1) có đường kình rìa gấp đôi đường kính rìa của thấu kính (L2 ). Một điểm sáng S nằm trên trục chính của hệ, trước( L1)
a) Chứng tỏ có hai ảnh của S được tạo bởi hệ.
b) Tìm điều kiện về vị trí của S để hai ảnh đều thật và hai ảnh đều ảo.
Lời giải:
a) Từ hình 30.4 ta thấy:
Khi chùm tia sáng từ S tới các điểm tới từ miền vành ngoài của thấu kính L2 trở ra thì chỉ đi qua thấu kính L1 và chùm tia ló sẽ tạo ảnh S1
Còn chùm tia sáng từ S tới các điểm tới trong trong khoảng từ tâm thấu kính tới miền vành của thấu kính L2 thì đi qua cả hai thấu kính L1 và L2 và chùm tia ló sẽ tạo ảnh S2. Như vậy sẽ có hai đồng thời được tạo thành như hình 30.4a.
Sơ đồ tạo ảnh:

b) Vì f2> f12 nên:
* Điều kiện để hai ảnh S1,S2 đều thật là: d1 và d2>fmax=f2=30cm
* Điều kiện để hai ảnh S1,S2 đều ảo là∶d1 và d2< fmin=f12=20cm
Trên đây VnDoc.com vừa giới thiệu tới các bạn Giải bài tập trang 195 SGK Vật lý lớp 11: Giải bài toán về hệ thấu kính, mong rằng qua bài viết này các bạn có thể học tập tốt hơn môn Vật lý 11. Mời các bạn cùng tham khảo thêm kiến thức các môn Toán 11, Ngữ văn 11, Tiếng Anh 11, đề thi học kì 1 lớp 11, đề thi học kì 2 lớp 11...
Mời bạn đọc cùng tham gia nhóm Tài liệu học tập lớp 11 để có thêm tài liệu học tập nhé