Giao diện mới của VnDoc Pro: Dễ sử dụng hơn - chỉ tập trung vào lớp bạn quan tâm. Vui lòng chọn lớp mà bạn quan tâm: Lưu và trải nghiệm
Đóng
Điểm danh hàng ngày
  • Hôm nay +3
  • Ngày 2 +3
  • Ngày 3 +3
  • Ngày 4 +3
  • Ngày 5 +3
  • Ngày 6 +3
  • Ngày 7 +5
Bạn đã điểm danh Hôm nay và nhận 3 điểm!
Nhắn tin Zalo VNDOC để nhận tư vấn mua gói Thành viên hoặc tải tài liệu Hotline hỗ trợ: 0936 120 169

Giải bài tập trang 8, 9 SGK Vật lý lớp 11: Điện tích, định luật Cu - lông

Lớp: Lớp 11
Môn: Vật Lý
Dạng tài liệu: Giải bài tập
Loại File: Word + PDF
Phân loại: Tài liệu Tính phí

Giải bài tập trang 8, 9 SGK Vật lý lớp 11: Điện tích, định luật Cu - lông. Tài liệu cung cấp đến bạn những kiến thức cơ bản về điện tích, định luật Cu - lông và hướng dẫn giải các bài tập trong SGK. Mời các bạn tham khảo.

Tóm tắt kiến thức cơ bản: Điện tích, định luật Cu - lông

1. Sự nhiễm điện của các vật - điện tích - tương tác điện

a. Sự nhiễm diện của các vật: Khi cọ xát các vật như thủy tinh, nhựa...vào miếng vải len thì chúng có thể hút được các vật nhẹ, ta nói các vật sau khi cọ xát đã bị nhiễm điện.

b. Điện tích

  • Điện tích được dùng để chỉ một vật mang điện, một vật tích điện hoặc một "lượng điện" của vật.
  • Điện tích điểm là điện tích được coi như tập trung tại một điểm, một vật tích điện có kích thước rất nhỏ so với khoảng cách tới điểm mà ta xét có thể coi là một điện tích điểm.

c. Tương tác điện - hai loại điện tích

  • Có hai loại điện tích là điện tích dương (+) và điện tích âm (-).
  • Sự đẩy hay hút nhau giữa các điện tích gọi là tương tác điện. Các điện tích cùng dấu thì đẩy nhau, các diện tích khác dấu thì hút nhau.

2. Định luật Cu - lông - hằng số diện môi

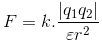
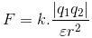
a. Định luật Cu - lông: Lực hút hay đẩy giữa hai điện tích điểm đặt trong chân không có phương trùng với đường thẳng nôi hai điện tích điểm; có cường độ tỉ lệ với tích độ lớn của hai điện tích và tỉ lệ nghịch với bình phương khoảng cách giữa chúng.

b. Lực tương tác giữa các điểm đặt trong điện mỏi đong tính. Hằng số điện mối Điện môi là một môi trường cách điện. Hằng số điện môi cho biết khi đặt các điện tích trong điện môi thì tác dụng giữa chúng sẽ nhỏ đi bao nhiêu lần so với khi đặt chúng trong chân không. Công thức của định luật Cu - lông trong trường hợp này là: Giải bài tập trang 8,9 SGK Vật lý lớp 11. Đối với chân không thì ε = 1

Giải bài tập trang 8, 9 SGK Vật lý lớp 11

Câu 1. Điện tích điểm là gì?

Trả lời: Điện tích điểm là điện tích tập trung tại một điểm. Nếu một vật tích điện có kích thước rất nhỏ so với khoảng cách tới điểm mà ta xét thì có thể coi vật tích điện đó là một điện tích điểm.

Câu 2: Phát biểu định luật Cu - lông.

Trả lời: Lực hút hay đẩy giữa hai điện tích điểm đặt trong chân không có phương trùng với đường thẳng nôi hai điện tích điểm; có cường độ tỉ lệ với tích độ lớn của hai điện tích và tỉ lệ nghịch với bình phương khoảng cách giữa chúng.

Câu 3. Lực tương tác giữa các điện tích đặt trong một điện môi sẽ lớn hơn hay nhỏ hơn khi đặt trong chân không?

Trả lời: Khi đặt hai điện tích trong một điện môi thì lực tương tác sẽ yếu đi so với khi đặt trong chân không.
Công thức: Giải bài tập trang 8, 9 SGK Vật lý lớp 11Với ε là hằng số nhiệt môi

Câu 4. Hằng số điện môi của một chất cho ta biết điều gì?

Trả lời: Hằng số điện môi của một chất cho ta biết khi đặt các điện tích trong chất đó thì lực tác dụng giữa chúng sẽ giảm đi bao nhiêu lần so với khi đặt chúng trong chân không.

Câu 5. Chọn câu đúng. Khi tăng đồng thời độ lớn của hai điện tích điếm và khoảng cách giữa chúng lên gấp đôi thì lực tương tác giữa chúng:

A.Tăng lên gấp đôi
B. Giảm đi một nửa
C. Giảm đi bôn làn
D. Không thay đổi.

Trả lời: Chọn D.

Áp dụng công thức giải bài tập trang 8, 9 SGK Vật lý lớp 11 khi tăng đồng thời độ lớn của hai điện tích điểm và khoảng cách giữa chúng lên gấp đôi thì lực tương tác giữa chúng sẽ không thay đổi.

Câu 6. Trong trường hợp nào sau đây có thể coi các vật nhiễm điện là điện tích điểm?

A. Hai thanh nhựa đặt gần nhau.
B. Một thanh nhựa và một quả cầu đặt gần nhau.
C. Hai quả cầu nhỏ đặt xa nhau.
D. Hai quả cầu lớn đặt gần nhau.

Trả lời: Chọn c. Vì khi đó kích thước hai quả cầu rất nhỏ so với khoảng cách giữa chúng.

Câu 7. Nêu những điểm giông nhau và khác nhau giữa định luật Cu - lông và định luật vạn vật hấp dẫn.

Trả lời:

  • Giống nhau:
    • Lực hấp dẫn tỉ lệ với tích hai khối lượng của hai vật tương tác với nhau; lực Cu - lông tỉ lệ với tích các giá trị tuyệt đối của hai điện tích.
    • Lực hấp dẫn tỉ lệ nghịch với bình phương khoảng cách giữa hai vật mang khối lượng, còn lực Cu - lông tỉ lệ nghịch với bình phương khoảng cách giữa hai điện tích.
  • Khác nhau: Lực hấp dần chỉ có lực hút, lực Cu - lông có cả lực hút và lực đẩy.

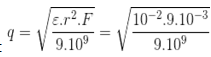
Câu 8. Hai quả cầu nhỏ mang hai điện tích có độ lớn bằng nhau đặt cách nhau 10cm trong không khí thì tác dụng lên nhau một lực là 9.10-3N. Hãy xác định điện tích của hai quả cầu đó.

Trả lời:

Áp dụng công thức F = 9.109. Giải bài tập trang 8, 9 SGK Vật lý lớp 11trong đó ta biết:

F = 9.10-3N, r = 10.10-2m, ε = 1. Ta biết |q1| = |q2| = q.

Từ đó ta tính đượcGiải bài tập trang 8, 9 SGK Vật lý lớp 11 = ± 10-7C.

VnDoc.com xin gửi tới bạn đọc bài viết Giải bài tập trang 8, 9 SGK Vật lý lớp 11: Điện tích, định luật Cu - lông để bạn đọc cùng tham khảo. Bài viết được VnDoc.com tổng hợp lại kiến thức lý thuyết cũng như bài tập trong sách giáo khoa môn Vật lý lớp 11 bài Điện tích, định luật Cu lông. Mời các bạn cùng tham khảo chi tiết và tải về tại đây.

Trên đây VnDoc.com vừa giới thiệu tới các bạn Giải bài tập trang 8, 9 SGK Vật lý lớp 11: Điện tích, định luật Cu - lông, mong rằng qua bài viết này các bạn có thể học tập tốt hơn môn Vật lý 11. Mời các bạn cùng tham khảo thêm kiến thức các môn Toán 11, Ngữ văn 11, Tiếng Anh 11, đề thi học kì 1 lớp 11, đề thi học kì 2 lớp 11...

Để giúp bạn đọc có thể thuận tiện hơn trong việc chia sẻ, trao đổi kinh nghiệm tài liệu học tập cũng như giảng dạy, VnDoc.com mời bạn đọc cùng tham gia nhóm Tài liệu học tập lớp 11 để có thêm tài liệu học tập nhé

Chọn file muốn tải về:
Đóng Chỉ thành viên VnDoc PRO/PROPLUS tải được nội dung này!
Đóng
79.000 / tháng
Đặc quyền các gói Thành viên
PRO
Phổ biến nhất
PRO+
Tải tài liệu Cao cấp 1 Lớp
30 lượt tải tài liệu
Xem nội dung bài viết
Trải nghiệm Không quảng cáo
Làm bài trắc nghiệm không giới hạn
Mua cả năm Tiết kiệm tới 48%

Có thể bạn quan tâm

Xác thực tài khoản!

Theo Nghị định 147/2024/ND-CP, bạn cần xác thực tài khoản trước khi sử dụng tính năng này. Chúng tôi sẽ gửi mã xác thực qua SMS hoặc Zalo tới số điện thoại mà bạn nhập dưới đây:

Số điện thoại chưa đúng định dạng!
Số điện thoại này đã được xác thực!
Bạn có thể dùng Sđt này đăng nhập tại đây!
Lỗi gửi SMS, liên hệ Admin
Sắp xếp theo
🖼️

Giải bài tập Vật Lí 11

Xem thêm
🖼️

Gợi ý cho bạn

Xem thêm