Giải bài tập trang 20, 21 SGK Vật lý lớp 11: Điện trường và cường độ điện trường, đường sức điện
Giải bài tập Vật lý lớp 11: Điện trường và cường độ điện trường, đường sức điện
Giải bài tập trang 20, 21 SGK Vật lý lớp 11: Điện trường và cường độ điện trường, đường sức điện. Lời giải hay bài tập Vật Lý lớp 11 này sẽ giúp bạn nắm được những kiến thức cơ bản của bài học, từ đó hướng dẫn vận dụng những kiến thức đã học được vào giải các bài tập. Mời các bạn tham khảo.
Tóm tắt kiến thức cơ bản: Điện trường và cường độ điện trường, đường sức điện
1. Điện trường
a) Môi trường truyền tương tác điện: Giả sử ta đặt hai quả cầu điện tích trái dấu trong một bình kín rồi hút hết không khí ra. Ta đã biết, lực hút của hai quả cầu không những yếu đi mà lại mạnh lên. Như vậy phải có một môi trường nào đó truyền tương tác điện giữa hai quả cầu. Môi trường đó là điện trường.
b) Điện trường
- Điện trường là môi trường (dạng vật chất) bao quanh điện tích và gắn liền với điện tích.
- Điện trường tác dụng lực điện lên các điện tích khác đặt trong nó.
- Nơi nào có điện tích thì xung quanh điện tích đó có điện trường.
- Một điện tích Q nằm tại một điểm trong không gian sẽ gây ra xung quanh nó một điện trường. Một điện tích q nằm trong điện trường đó sẽ bị Q tác dụng một lực điện và ngược lại, q cũng tác dụng lên Q một lực đối (hình 3.1).
2. Cường độ điện trường
a) Khái niệm cường độ điện trường: Giả sử có một điện tích điểm Q nằm tại điểm O. Điện tích này tạo ra một điện trường xung quanh nó. Để nghiên cứu điện trường của Q tại điểm M, ta đặt tại đó một điện tích điểm q, gọi là điện tích thử và xét lực điện tác dụng lên q (Hình 3.1). Theo định luật Cu - lông, q càng nằm xa Q thì lực điện càng nhỏ. Ta nói điện trường tại các điểm càng xa Q càng yếu. Vì thế cần phải xây dựng một khái niệm đặc trưng cho sự mạnh, yếu của điện trường tại một điểm. Khái niệm đó là cường độ điện trường.

b) Định nghĩa.
- Thực nghiệm chứng tỏ rằng lần lượt các điện tích thử q1, q2,...khác nhau tại một điểm thì:
![]()
- Ta có thể thấy độ lớn của lực điện tác dụng lên điện tích thử q = +1C để đặc trưng cho cường độ điện trường tại điểm mà ta xét. Tuy nhiên độ lớn F của lực điện tỉ lệ thuận với q, nên thương số F/q chính là độ lớn của lực điện tác dụng lên điện tích 1C. Do đó, ta sẽ lấy thương số này làm số đo của cường độ điện trường.
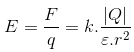
=> Vậy ta có định nghĩa sau: Cường độ điện trường tại một điểm là đại lượng đặc trưng cho tác dụng lực của điện trường tại điểm đó. Nó được xác định bằng thương số của độ lớn lực điện F tác dụng lên một điện tích thử q (dương) đặt tại điểm đó và độ lớn của q. E = F/q
c) Vectơ cường độ điện trường
- Vì lực F là đại lượng vectơ, còn điện tích q là đại lượng vô hướng, nên cường độ điện trường E cũng là một đại lượng vectơ.
- Cường độ điện trường được biểu diễn bằng một vectơ gọi là vectơ cường độ điện trường. Từ công thức
, ta có: Vectơ cường độ điện trường
có: - Phương và chiều trùng với phương và chiều của lực điện tác dụng lên điện tích thử q dương.
- Chiều dài (môđun) biểu diễn độ lớn của cường độ điện trường theo một tỉ lệ xích nào đó.
d) Đơn vị đo cường độ điện trường: Đơn vị đo cường độ điện trường là Vôn trên mét (kí hiệu là V/m).
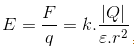
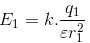
e) Công thức tính cường độ điện trường tại một điện tích điểm
Công thức tính cường độ điện trường tại một điện tích điểm Q:
![]()
f) Nguyên lí chồng chất điện trường
- Giả sử có hai điện tích điểm Q1 và Q2 gây ra tại điểm M hai vectơ cường độ điện trường
và
. - Nguyên lí chồng chất điện trường: Các điện trường E1 và E2 đồng thời tác dụng lực điện lên điện tích q một cách độc lập với nhau. Cường độ điện trường tại một điểm bằng tổng hợp của
và
.
=
+ ![]()
- Các vectơ cường độ điện trường tại một điểm được tổng hợp theo quy tắc hình bình hành.
3. Đường sức điện
a) Hình ảnh các đường sức điện: Người ta chứng minh được rằng, các hạt nhỏ đã bị nhiễm điện và nằm dọc theo phương của lực điện. Tập hợp các hạt nhỏ sẽ nằm dọc theo những đường mà tiếp tuyến tại mỗi điểm nằm theo phương của vectơ cường độ điện trường tại đó. Mỗi đường đó gọi là một đường sức điện.
b) Định nghĩa: Đường sức điện là đường mà tiếp tuyến tại mỗi điểm của nó là giá của vectơ cường độ điện trường tại điểm đó. Nói cách khác, đường sức điện là đường mà lực điện tác dụng dọc theo nó.
c) Các đặc điểm của đường sức điện
- Qua mỗi điểm trong điện trường có một và chỉ một đường sức điện mà thôi.
- Đường sức điện là những đường có hướng. Hướng của đường sức điện tại một điểm là hướng của vectơ cường độ điện trường tại điểm đó.
- Đường sức điện của điện trường tĩnh điện là đường không khép kín. Nó đi ra điện tích dương và kết thúc ở điện tích âm.
- Tuy các đường sức từ là dày đặc nhưng người ta chỉ vẽ một số ít đường theo quy tắc sau: Số đường sức đi qua một điện tích nhất định đặt vuông góc với đường sức điện tại điểm mà ta xét thì tỉ lệ với cường độ điện trường tại điểm đó.
d) Điện trường đều
- Điện trường đều là điện trường mà vectơ cường độ điện trường tại mọi điểm đều có cùng phương, cùng chiều, và cùng độ lớn; đường sức điện là những đường thẳng song song cách đều.
- Điện trường trong một điện môi đồng chất nằm ở giữa hai bản kim loại phẳng đặt song song với nhau và điện tích bằng nhau, trái dấu là một điện trường đều

Giải bài tập Vật lý 11 trang 20, 21 SGK
Câu 1. Điện trường là gì?
Trả lời: Điện trường là một môi trường (dạng vật chất) truyền tương tác điện. Điện trường bao quanh điện tích, do điện tích sinh ra và gắn liền với điện tích.
Câu 2. Cường độ điện trường là gì? Nó được xác định như thế nào? Đơn vị cường độ điện trường là gì?
Trả lời:
- Cường độ điện trường tại một điểm là đại lượng đặc trưng cho tác dụng lực của điện trường tại điểm đó.
- Cường độ điện trường tại một điểm được xác định bằng thương số giữa cường độ lực điện F tác dụng lên một điện tích thử q đặt tại điểm đó và độ lớn của q: E = F/q
- Đơn vị của cường độ điện trường là v/m.
Câu 3. Vectơ cường độ điện trường là gì? Nêu những đặc điểm của vectơ điện trường tại một điểm.
Trả lời:
- Cường độ điện trường là đại lượng có hướng (cùng hướng với lực điện tác dụng lên điện tích thử dương đặt tại điểm khảo sát) nên được biểu diễn bằng vectơ gọi là vectơ cường độ điện trường.
- Vectơ cường độ điện trường E tại một điểm có:
- Phương và chiều của lực tác dụng lên điện tích thử dương đặt tại điểm đó.
- Chiều dài (môđun) biểu diễn độ lớn của cường độ điện trường theo tỉ lệ xích nào đó.
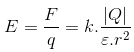
Câu 4: Viết công thức tính và nêu những đặc điểm của cường độ điện trường của một điện tích điểm.
Trả lời:
Công thức: ![]()
Đặc điểm: Vectơ cường độ điện trường của một điện tích Q gây tại một điểm M nào đó chỉ phụ thuộc vào bản thân điện tích Q (dấu và độ lớn) và vị trí điểm M mà không phụ thuộc vào điện tích thử đặt tại điểm M.
Câu 5: Cường độ điện trường của một hệ điện tích điểm được xác định như thế nào?
Trả lời: Cường độ điện trường của một hệ điện tích điểm xác định dựa trên nguyên lí chồng chất điện trường. Có thể thực hiện các bước như sau:
- Vectơ cường độ điện trường do từng điện tích gây ra tại điểm khảo sát (gọi là các vectơ cường độ điện trường thành phần).
- Dùng quy tắc hình bình hành lần lượt cộng tất cả các vectơ cường độ điện trường thành phần để tìm vectơ tổng. Vectơ đó chính là cường độ điện trường tổng hợp do hệ điện tích gây ra tại điểm khảo sát.
Câu 6: Phát biểu nguyên lí chồng chất các điện trường.
Trả lời: Vectơ cường độ điện trường tổng hợp do một hệ điện tích điểm gây ra tại một điểm nào đó bằng tổng tất cả các vectơ cường độ điện trường do từng điện tích điểm gây ra tại đó.
Câu 7. Nêu định nghĩa và các đặc điểm của đường sức điện.
Trả lời:
- Định nghĩa đường sức điện: Đường sức điện là đường mà tiếp tuyến tại mồi điểm của nó là giá của một vectơ điện trường tại điểm đó.
- Các đặc điểm của đường sức điện:
- Qua mỗi điểm trong điện trường có một đường sức điện và chỉ một mà thôi.
- Đường sức điện của điện trường tĩnh điện là đường không khép kín. Nó đi ra từ điện tích dương và kết thúc ở điện tích âm, hoặc đi từ một điện tích ra vô cùng.
- Ở chỗ cường độ điện trường lớn thì các đường sức điện sẽ mau (dày), còn ở chỗ cường độ điện trường nhỏ thì các đường sức điện sẽ thưa.
Câu 8: Điện trường đều là gì?
Trả lời: Điện trường đều là điện trường có vectơ điện trường tại mọi điểm đều có cùng phương, chiều và độ lớn; đường sức điện là những đường thẳng song song cách đều.
Câu 9: Đại lượng nào dưới đây không liên quan đến cường độ điện trường của một điện tích điểm Q tại một điếm?
A. Điện tích Q. B. Điện tích thử q.
C. Khoảng cách r từ Q đến q. D. Hăng số điện môi của môi trường.
Trả lời: Chọn B.
Câu 10. Đơn vị nào sau đây là đơn vị đo của cường độ điện trường?
A. Niutơn B. Culông C. Vôn nhân mét D. Vôn trên mét.
Trả lời: Chọn D. Đơn vị cường độ điện trường là vôn trên mét (V/m)
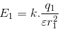
Câu 11. Tính cường độ điện trường và vẽ vectơ điện trường do một điện tích điểm +4.10-8C gây ra tại một điểm cách nó 5cm trong một môi trường có hằng số điện môi là 2.
Trả lời:
Ta có
= 72.103 V/m.
Câu 12. Hai điện tích điểm q1 = +3.10-8C và q2 = -4.10-8C được đặt cách nhau 10cm trong không khí. Hãy tìm các điểm mà tại đó cường độ điện trường băng không. Tại các điểm đó có điện trường hay không?
Trả lời: Điện tích điểm q1 = 3.10-8C đặt tại điểm A, q2 = -4.10-8C đặt tại điểm B, AB = 10cm.
Gọi C là điểm mà tại đó cường độ điện trường bằng không.
Gọi
là cường độ điện trường của q1 và q2 tại C.
Tại đó
. Hai vectơ này phải cùng phương, tức là điểm C phải nằm trên đường thẳng AB (Hình 3.3).
Hai vectơ này phải ngược chiều, tức là phải nằm ngoài đoan AB. Vì hai vectơ này phải có môđun bằng nhau, tức là điểm C gần A hơn B vì |q1| < |q2|.

Đặt AN = l, AC = x, ta có:
hay x = 64,6cm.
Ngoài ra còn phải kể tất cả các điểm nằm rất xa q1 và q2. Tại điểm C và các điểm này thì cường độ điện trường bằng không, tức là không có điện trường.
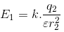
Câu 13. Hai điện tích điểm A và B cách nhau 5cm trong chân không có hai điện tích q1 = +16.10-8C và q2 = -9.10-8C. Tính cường độ điện trường tổng hợp và vẽ vectơ cường độ điện trường tại điểm C nằm cách A một khoảng 4cm và cách B một khoảng 3cm.
Trả lời:
Đặt AC = r1 và BC = r2. Gọi
và
lần lượt là cường độ điện trường do q1 và q2 gây ra ở C (Hình 3.4).
= 9.105 V/m (Hướng theo phương AC).
= 9.105 V/m (Hướng theo phương CB).
Vì tam giác ABC là tam giác vuông nên hai vectơ
và
vuông góc với nhau.
Gọi
là vectơ cường độ điện trường tổng hợp:![]()
Vectơ
làm với các phương AC và BC những góc 450 và có chiều như hình vẽ.

Trên đây VnDoc.com vừa giới thiệu tới các bạn Giải bài tập trang 20, 21 SGK Vật lý lớp 11: Điện trường và cường độ điện trường, đường sức điện. Chắc hẳn qua bài viết bạn đọc đã nắm được những ý chính cũng như trau dồi được nội dung kiến thức của bài viết rồi đúng không ạ? Bài viết đã hướng dẫn bạn đọc trả lời các câu hỏi trong SGK Vật lý lớp 11. Mong rằng qua bài viết này các bạn có thể học tập tốt hơn môn Vật lý 11. Để giúp bạn đọc có thêm nhiều tài liệu học tập hơn nữa, VnDoc.com mời các bạn cùng tham khảo thêm kiến thức các môn Toán 11, Ngữ văn 11, Tiếng Anh 11, đề thi học kì 1 lớp 11, đề thi học kì 2 lớp 11...
Mời bạn đọc cùng tham gia nhóm Tài liệu học tập lớp 11 để có thêm tài liệu học tập nhé
Bài tiếp theo: Giải bài tập SGK Vật lý lớp 11 bài 4: Công của lực
- Giải bài tập trang 25 SGK Vật lý lớp 11: Công của lực
- Giải bài tập trang 29 SGK Vật lý lớp 11: Điện thế, hiệu điện thế