a) Maltose được tạo ra chủ yếu do quá trình lên men glucose. Sai||Đúng
b) Saccharose có cả cấu tạo dạng mạch hở và dạng mạch vòng. Sai||Đúng
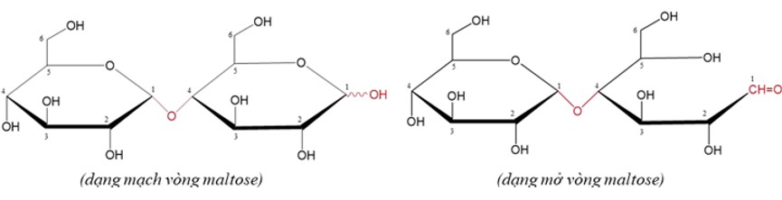
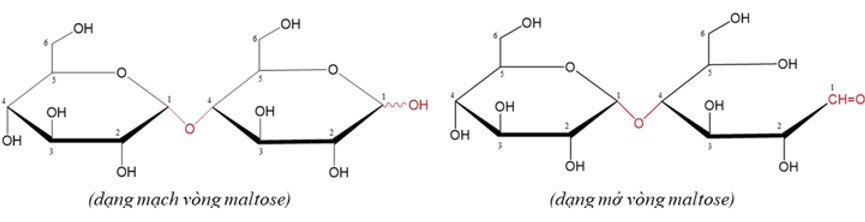
c) Hai đơn vị glucose trong phân tử maltose liên kết với nhau bằng liên kết α-1,2-glycoside. Sai||Đúng
d) Phân tử maltose không có nhóm −OH hemiacetal. Sai||Đúng
a) Maltose được tạo ra chủ yếu do quá trình lên men glucose. Sai||Đúng
b) Saccharose có cả cấu tạo dạng mạch hở và dạng mạch vòng. Sai||Đúng
c) Hai đơn vị glucose trong phân tử maltose liên kết với nhau bằng liên kết α-1,2-glycoside. Sai||Đúng
d) Phân tử maltose không có nhóm −OH hemiacetal. Sai||Đúng
a) Sai vì maltose tạo ra do quá trình thủy phân tinh bột.
b) Sai vì saccharose chỉ có cấu tạo dạng mạch vòng.
c) Sai vì hai đơn vị glucose trong phân tử maltose liên kết với nhau bằng liên kết α-1,4-glycoside.
d) Sai vì phân tử maltose có thể mở vòng do có nhóm −OH hemiacetal.





