Bộ đề thi học kì 2 môn Toán lớp 10 trường THPT Đa Phúc, Hà Nội năm học 2016 - 2017
Đề thi cuối học kì 2 môn Toán lớp 10
Bộ đề thi học kì 2 môn Toán lớp 10 trường THPT Đa Phúc, Hà Nội năm học 2016 - 2017 gồm 8 mã đề thi trắc nghiệm môn Toán lớp 10. Phần đáp án các mã đề đã được VnDoc.com cập nhật đầy đủ và chính xác để gửi tới các em, chính vì vậy các em học sinh có thể đối chiếu kết quả bài làm ngay sau khi làm xong bài. Chúc các em học tốt.
Đề thi học kì 2 môn Toán lớp 10 Trường THPT chuyên Hạ Long, Quảng Ninh năm học 2016 - 2017
Đề thi học kì 2 môn Toán lớp 10 trường THPT chuyên Lương Thế Vinh, Hà Nội năm học 2016 - 2017
|
TRƯỜNG THPT ĐA PHÚC NĂM HỌC 2016-2017 |
ÐỀ KIỂM TRA HỌC KỲ 2 Môn: Toán - Khối 10 - Thời gian: 90 phút |
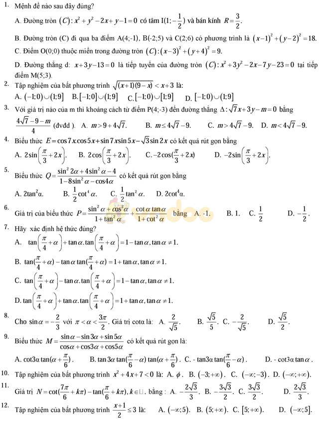
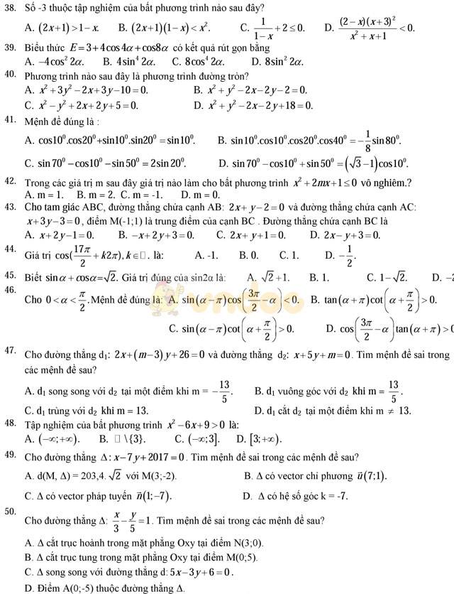
Mã đề 173




Đáp án đề thi cuối học kì 2 môn Toán lớp 10
| STT | 173 | 268 | 357 | 575 | 642 | 729 | 866 | 869 |
| 1 | A | A | D | D | C | B | C | A |
| 2 | D | D | B | A | D | A | C | B |
| 3 | B | C | C | D | D | C | A | D |
| 4 | B | C | A | D | A | A | C | B |
| 5 | B | D | A | C | D | C | A | D |
| 6 | B | A | D | D | C | C | D | B |
| 7 | B | D | B | B | C | B | B | C |
| 8 | D | A | B | B | A | D | B | B |
| 9 | B | A | A | C | B | A | B | A |
| 10 | A | B | B | C | D | A | B | D |
| 11 | D | D | D | D | A | C | B | C |
| 12 | D | C | C | C | D | B | C | D |
| 13 | A | A | D | B | B | C | D | A |
| 14 | C | B | D | D | D | A | D | B |
| 15 | C | D | A | A | A | D | B | C |
| 16 | B | C | D | D | B | C | D | C |
| 17 | B | D | B | C | A | C | C | B |
| 18 | C | A | C | D | C | B | D | C |
| 19 | B | C | A | A | C | B | D | A |
| 20 | A | A | A | D | B | C | A | A |
| 21 | B | A | B | D | D | B | B | C |
| 22 | C | C | B | A | B | A | D | B |
| 23 | A | B | D | D | D | A | A | C |
| 24 | C | C | A | C | C | B | B | C |
| 25 | C | C | C | C | C | D | A | A |
| 26 | B | C | D | A | A | A | C | B |
| 27 | C | A | A | D | A | C | A | A |
| 28 | C | C | A | D | C | D | D | B |
| 29 | A | D | D | B | D | C | B | D |
| 30 | D | B | D | A | B | B | B | B |
| 31 | A | C | B | A | B | D | C | D |
| 32 | A | D | B | A | B | B | D | D |
| 33 | B | B | B | C | D | D | A | A |
| 34 | A | D | A | A | C | B | B | B |
| 35 | D | B | D | D | D | B | D | B |
| 36 | B | C | B | D | B | A | D | A |
| 37 | B | C | B | A | B | D | A | B |
| 38 | B | B | A | C | A | A | A | B |
| 39 | C | A | B | D | B | B | B | D |
| 40 | B | B | A | A | A | C | A | A |
| 41 | D | B | D | B | B | A | B | D |
| 42 | D | B | D | A | B | A | A | D |
| 43 | A | B | D | A | A | D | C | C |
| 44 | B | D | C | A | B | B | D | A |
| 45 | B | A | B | B | C | B | C | D |
| 46 | C | B | C | B | B | D | C | B |
| 47 | A | C | D | D | D | D | C | D |
| 48 | B | B | D | B | A | D | B | A |
| 49 | D | B | D | C | A | D | B | C |
| 50 | B | D | D | C | C | B | A | C |
Mời các bạn tải file đầy đủ về tham khảo.