Đề ôn thi giữa học kì 2 môn Toán lớp 4 - Đề 4
Đề ôn thi giữa học kì 2 môn Toán lớp 4 - Đề 4 được VnDoc sưu tầm, chọn lọc cho các em học sinh ôn tập, củng cố kiến thức trọng tâm chuẩn bị cho các bài thi kiểm tra giữa học kì 2 lớp 4. Mời các thầy cô cùng các em học sinh tham khảo chi tiết.
Đề ôn thi giữa học kì 2 môn Toán lớp 4 - Đề 4
Đề bài ôn tập giữa học kì 2 môn Toán lớp 4
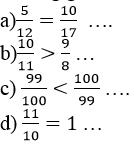
Bài 1. Đúng ghi Đ, sai ghi S vào ô trống:

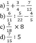
Bài 2. Tính :

Bài 3. Khoanh vào chữ số đặt trước câu trả lời đúng:

Bài 4. Cho hình bình hành có chu vi bằng nhau (cùng bằng 12 cm) một hình có số đo một cạnh là 3 cm, một hình có số đo một cạnh là 4 cm. Em hãy vẽ và ghi tên hình thoi vào một trong hai hình đó.
Bài 5. Một tấm kính hình chữ nhật có chu vi là 3 m, chiều rộng 3 dm. Tính diện tích tấm kính đó ra dm vuông?
Bài 6. Thửa ruộng nhà ông Hùng rộng 1500m2. Buổi sáng ông Hùng cày được 2/5 diện tích thửa ruộng. Buổi chiều ông Hùng cày tiếp và còn lại 1/10 diện tích thửa ruộng. Hỏi buổi chiều ông Hùng cày được bao nhiêu mét vuông thửa ruộng đó?
Đáp án Đề kiểm tra giữa học kì 2 môn Toán lớp 4
Bài 1:
a) S
b) S
c) Đ
d) S
Bài 2.

Bài 3.
a) B
b) C
c) B
d) C
Bài 4.

Bài 5.
Đổi: 3 m = 30 dm
Nửa chu vi tấm kính đó là: 30 : 2 = 15 (dm)
Chiều dài tấm kính đó là: (15 + 3 ) : 2 = 9 (dm)
Chiều rộng tấm kính đó là: 9 – 3 = 6 (dm)
Diện tích tấm kính đó là: 9 x 6 = 54 (dm2)
Đáp số: 54 dm2
Bài 6.
Số mét vuông buổi sáng ông Hùng cày được là: 1500 x 2/5 = 600 (m2)
Số mét vuông còn lại chưa cày là: 1500 x 1/10 = 150 (m2)
Số mét vuông buổi chiều ông Hùng cày được là : 1500 – (600 + 150) = 750 (m2)
Đáp số: 750 m2
Đề ôn thi giữa học kì 2 môn Toán lớp 4 - Đề 4 bao gồm 6 câu hỏi có đáp án chi tiết cho từng dạng bài tập, các em học sinh tham khảo ôn tập, rèn luyện kỹ năng giải Toán chuẩn bị cho bài thi giữa học kì lớp 4.
Ngoài Đề ôn tập giữa học kì 2 lớp 4 trên, các bạn luyện giải bài tập SGK Tiếng Việt 4 hay SGK môn Toán lớp 4 được VnDoc sưu tầm, chọn lọc. Đồng thời các dạng đề thi học kì 1 lớp 4, đề thi học kì 2 theo Thông tư 22 mới nhất được cập nhật. Mời các em học sinh, các thầy cô cùng các bậc phụ huynh tham khảo đề thi, bài tập mới nhất.