Đề thi thử THPT Quốc gia môn Toán năm 2016 trường THPT Liên Hà, Hà Nội
Đề thi thử THPT Quốc gia môn Toán năm 2016
Đề thi thử THPT Quốc gia môn Toán năm 2016 trường THPT Liên Hà, Hà Nội có đáp án đi kèm, đây là đề luyện thi THPT Quốc gia môn Toán hữu ích dành cho các bạn thí sinh chuẩn bị bước vào kì thi THPT Quốc gia, luyện thi Đại học, Cao đẳng 2016 hữu ích. Mời các bạn tham khảo.
Đề thi thử THPT Quốc gia môn Toán năm 2016 trường THPT Đa Phúc, Hà Nội (Lần 3)
| SỞ GIÁO DỤC VÀ ĐÀO TẠO HÀ NỘI TRƯỜNG THPT LIÊN HÀ |
ĐỀ THI THỬ THPT QUỐC GIA NĂM 2016 Môn: TOÁN Thời gian làm bài: 180 phút, không kể thời gian phát đề |
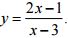
Câu 1 (1,0 điểm). Khảo sát sự biến thiên và vẽ đồ thị hàm số ![]()
Câu 2 (1,0 điểm). Viết phương trình tiếp tuyến với đồ thị hàm số y = x3 + 3x2 - 2, biết rằng tiếp tuyến song song với đường thẳng d: 9x - y - 7 = 0.
Câu 3 (1,0 điểm).
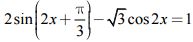
a) Giải phương trình ![]()
b) Cho số phức z thỏa mãn điều kiện
. Tính môđun của z.
Câu 4 (1,0 điểm). Tính tích phân 
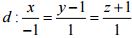
Câu 5 (1,0 điểm). Trong không gian với hệ tọa độ Oxyz, cho mặt phẳng (P): x + y + z - 3 = 0 và đường thẳng
. Tìm tọa độ giao điểm A của d với (P) và lập phương trình mặt phẳng (Q) chứa đường thẳng d và vuông góc với mặt phẳng (P).
Câu 6 (1,0 điểm).
a) Giải phương trình
.
b) Giải bóng đá Công đoàn cụm các trường THPT Đông Anh quy tụ 6 đội bóng đá Nam gồm: Liên Hà, Cổ Loa, Đông Anh, Bắc Thăng Long, Vân Nội và An Dương Vương. Các đội chia thành 2 bảng A và B, mỗi bảng 3 đội. Việc chia bảng được thực hiện bằng cách bốc thăm ngẫu nhiên. Tính xác suất để hai đội Liên Hà và Cổ Loa nằm ở hai bảng khác nhau.
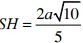
Câu 7 (1,0 điểm). Cho hình chóp S.ABCD có đáy ABCD là hình chữ nhật, AB = 2a, AD = a, K là hình chiếu vuông góc của B lên đường chéo AC, các điểm H, M lần lượt là trung điểm của AK và DC,
và SH vuông góc với mặt phẳng (ABCD). Tính theo a thể tích khối chóp S.ABCD và khoảng cách giữa hai đường thẳng SB và MH.
Câu 8 (1,0 điểm). Trên mặt phẳng tọa độ Oxy, cho hình vuông ABCD có cạnh bằng 4√5. Gọi M, N lần lượt là các điểm trên cạnh AD, AB sao cho AM = AN, điểm
là hình chiếu vuông góc của A trên đường thẳng BM. Điểm C(-8; 2), điểm N thuộc đường thẳng x - 2y = 0. Tìm tọa độ các điểm A, B, D.
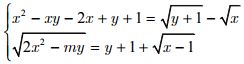
Câu 9 (1,0 điểm). Tìm tham số m để hệ phương trình sau có nghiệm thực

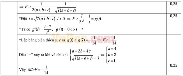
Câu 10 (1,0 điểm) Cho a, b, c là các số dương thay đổi, tìm giá trị nhỏ nhất của biểu thức:
![]()
Đáp án đề thi thử THPT Quốc gia môn Toán năm 2016





