Đề thi Violympic Toán lớp 9 vòng 14 năm 2015 - 2016
Đề thi Violympic Toán lớp 9 vòng 14
Đề thi Violympic Toán lớp 9 vòng 14 năm 2015 - 2016 là đề thi giải Toán qua mạng có đáp án đi kèm, hi vọng giúp các em học sinh ôn tập và củng cố kiến thức, nhằm đạt kết quả cao trong các vòng tiếp theo của cuộc thi Violympic giải Toán qua mạng năm học 2015 - 2016.
Đề thi Violympic Toán lớp 9 vòng 12 năm 2015 - 2016
Đề thi Violympic Toán lớp 9 vòng 13 năm 2015 - 2016
Mời làm: Đề thi Violympic Toán lớp 9 vòng 14 năm 2015 - 2016 trực tuyến
Bài 1: Hãy điền số thích hợp vào chỗ chấm
Câu 1.1: Tính (√12 + √3)(√27 - √3) = ...........
Câu 1.2: Giá trị lớn nhất của biểu thức:
là: .............
Câu 1.3: Số nghiệm của phương trình:
là ...........
Câu 1.4: Tính:
.............
Câu 1.5: Để đa thức 2ax2 + bx - 3 chia hết cho 4x - 1 và x + 3. Khi đó a + b = .........
Câu 1.6: Nghiệm của phương trình
là x = ..........
Câu 1.7: Cho biểu thức ![]()
Giá trị lớn nhất của biểu thức A là ..........
Câu 1.8: Giá trị của biểu thức:
tại
là .............
Câu 1.9: Biết x; y; z thỏa mãn:
=0. Khi đó x + y - z = .............
Câu 1.10: Nghiệm nguyên dương nhỏ nhất của bất phương trình:
là x = ...........
Bài 2: Cóc vàng tài ba
Câu 2.1: Cho biểu thức: ![]()
Với giá trị nào của x thì giá trị của A là một số nguyên.
A. x = ±3; x = ±5 B. x = ±1; x = ±5
C. x = ±1; x = ±3 D. Với mọi x
Câu 2.2: Khẳng định nào sau đây là đúng:
A. √3; √(7 + 1); √15 là số vô tỉ.
B. √3; √(7 + 1); √(15 +1) là số vô tỉ.
C. √3; √7; √(15 +1) là số vô tỉ.
D. √(3 +1); √7; √15 là số vô tỉ.
Câu 2.3: Giá trị của biểu thức khi là: ![]()
A. 3√2 B. √2/2 C. √2 D. 2√2
Câu 2.4: Tập nghiệm của phương trình
là:
A. x = 3/2; x = 5/2 B. x = 5/2 C. Vô nghiệm D. x = 3/2
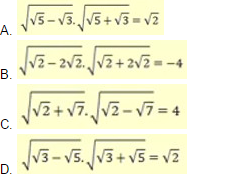
Câu 2.5: Chọn kết quả đúng trong các phép tính dưới đây:

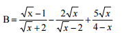
Câu 2.6: Cho biểu thức
với a < 2, sau khi rút gọn A được kết quả là:
A. A = -1/8 B. B = 1/8
C. A = 1/8 .(2 + a) D. 1/8 .(2 - a2)
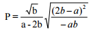
Câu 2.7: Cho biểu thức
với a < 0 và b > 0. Sau khi rút gọn thu được:
A. P = -1/√-a B. P = 1/√-a
C. P = -1/√a D. P = 1/√a
Câu 2.8: Khẳng định nào sau đây là đúng:

C. -3√x2 = 3x với mọi x ≤ 0
D. a√x2 = ax với mọi x
Câu 2.9: Giá trị của phân thức bằng: ![]()
A. 2√2/3 B. 2√3/3 C. 4/3 D. 2
Câu 2.10: Biểu thức:
xác định khi:
A. x ≠ 5 B. x ≤ -3 hoặc x > 5
C. Với mọi x D. -3 ≤ x < 5
Bài 3: Đi tìm kho báu
Câu 3.1: Nếu 2 đường thẳng y = -3x + 1 (d1) và y = (m +1)x + m (d2) song song với nhau thì m bằng:
A. 3 B. -4 C. -3 D. -2
Câu 3.2: Hàm số:
là hàm số bậc nhất khi:
A. m ≤ 3 B. m = 3 C. m < 3 D. m > 3
Câu 3.3: Đường thẳng y = x + 2√3 và y = 3x + 2√3 trên cùng một mặt phẳng tọa độ có vị trí tương đối là:
A. Trùng nhau
B. Song song
C. Cắt nhau tại điểm có tung độ 2√3
D. Cắt nhau tại điểm có hoành độ 2√3
Câu 3.4: Một đường thẳng đi qua điểm M(0; 4) và song song với đường thẳng x - 3y = 7 có phương trình là:
A. y = -3x + 4 B. y = 1/3 .x + 4
C. y = -3x - 4 D. -1/3 .x + 4
Câu 3.5: Cho ![]()
Biểu thức A có nghĩa khi:
A. x ≠ 3; x ≠ ±2 B. x ≠ -1
C. x ≠ ±3 D. x ≠ ±3; x ≠ -2
Đáp án đề thi Violympic Toán lớp 9 vòng 14
Bài 1: Hãy điền số thích hợp vào chỗ chấm
Câu 1.1: 18
Câu 1.2: 2
Câu 1.3: 2
Câu 1.4: 1
Câu 1.5: 13
Câu 1.6: - 1
Câu 1.7: 1
Câu 1.8: 1
Câu 1.9: 6
Câu 1.10: 3
Bài 2: Cóc vàng tài ba
Câu 2.1: C
Câu 2.2: A
Câu 2.3: C
Câu 2.4: C
Câu 2.5: A
Câu 2.6: C
Câu 2.7: A
Câu 2.8: C
Câu 2.9: D
Câu 2.10: D
Bài 3: Đi tìm kho báu
Câu 3.1: B
Câu 3.2: C
Câu 3.3: C
Câu 3.4: B
Câu 3.5: D