Giao diện mới của VnDoc Pro: Dễ sử dụng hơn - chỉ tập trung vào lớp bạn quan tâm. Vui lòng chọn lớp mà bạn quan tâm: Lưu và trải nghiệm
Đóng
Điểm danh hàng ngày
  • Hôm nay +3
  • Ngày 2 +3
  • Ngày 3 +3
  • Ngày 4 +3
  • Ngày 5 +3
  • Ngày 6 +3
  • Ngày 7 +5
Bạn đã điểm danh Hôm nay và nhận 3 điểm!
Nhắn tin Zalo VNDOC để nhận tư vấn mua gói Thành viên hoặc tải tài liệu Hotline hỗ trợ: 0936 120 169

Đề thi Violympic Toán lớp 9 vòng 13 năm 2015 - 2016

Loại File: Word + PDF
Phân loại: Tài liệu Tính phí

Đề thi Violympic Toán lớp 9 vòng 13

Đề thi Violympic Toán lớp 9 vòng 13 năm 2015 - 2016 là đề thi giải Toán qua mạng có đáp án đi kèm, hi vọng giúp các em học sinh ôn tập và củng cố kiến thức, nhằm đạt kết quả cao trong các vòng tiếp theo của cuộc thi Violympic giải Toán qua mạng năm học 2015 - 2016.

Đề thi Violympic Toán lớp 9 vòng 10 năm 2015 - 2016

Đề thi Violympic Toán lớp 9 vòng 11 năm 2015 - 2016

Đề thi Violympic Toán lớp 9 vòng 13 năm 2016 - 2017

Mời làm: Đề thi Violympic Toán lớp 9 vòng 13 năm 2015-2016 trực tuyến

Bài 1: Hãy điền số thích hợp vào chỗ chấm.

Câu 1.1: Cho (O; R) đường kính AB, đường thẳng a tiếp xúc với (O) tại A. Điểm M thuộc tiếp tuyến tại A của (O) sao cho AM = 2R. Số đo của góc AMB bằng.........o

Câu 1.2: Diện tích của tam giác vuông có hai cạnh góc vuông là 1 và 2 là ............

Câu 1.3: Điểm P(-1; -4) thuộc đồ thị hàm số y = -mx2 khi m = ............

Câu 1.4: Điểm A nằm ngoài đường tròn (O; R) sao cho AO = 15cm, vẽ hai tiếp tuyến AB và AC với (O; R) trong đó B, C là hai tiếp điểm thì thấy BA = 9cm. Vậy R = ........... cm.

Câu 1.5: Điểm cố định mà đường thẳng (d): y = (m - 2)x + m - 1 đi qua khi m thay đổi là A(xo; yo) thì xo + yo = ................

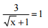
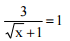
Câu 1.6: Nghiệm của phương trình Đề thi violympic toán lớp 9 vòng 13là x = .............

Câu 1.7: Hoành độ giao điểm của đường thẳng y = 0,5x - 2 với trục hoành là: ..............

Câu 1.8: Giá trị của biểu thức Đề thi violympic toán lớp 9 vòng 13là: ..............

Câu 1.9: Tam giác ABC có trung tuyến BD = 6cm, trung tuyến CE = 4,5cm, và BD vuông góc với CE tại O. Độ dài đoạn DE = .......... cm.

Câu 1.10: Giá trị nhỏ nhất của biểu thức P = x2 + xy + y2 - 3(x + y) + 3 là: ..............

Bài 2: Đỉnh núi trí tuệ

Câu 2.1: Biết ta được Đề thi violympic toán lớp 9 vòng 13 ...........

Câu 2.2: Parabol (P): y = ax2 đi qua điểm A(-2; 16) thì a = ..............

Câu 2.3: Cho đoạn thẳng AB = 12cm. Điểm I nằm trên cung chứa góc 90o dựng trên đoạn AB sao cho I không trùng A và B. Khi đó bán kính đường tròn đi qua ba điểm I; A; B là R = ......... cm.

Câu 2.4: Một nghiệm nguyên của phương trình 120x - 80y = 2400 là (xo; 0). Khi đó xo = ............

Câu 2.5: Cho tam giác ABC có AB = 10; BC = 24; AC = 26. Khi đó số đo góc BCA = .............o.

Câu 2.6: Tính:Đề thi violympic toán lớp 9 vòng 13

Câu 2.7: Tam giác ABC vuông ở A, có AB = 3; AC = 4. Vẽ đường cao AH. Gọi D và E lần lượt là hình chiều của H trên AB và AC. Khi đó DH2 + AD2 = ...............

Câu 2.8: Đường thẳng y = (a2 + 3a + 2015)x + (a - 2) cắt trục tung tại điểm có tung độ bằng 2014 khi a = ..............

Câu 2.9: Đường thẳng (d) có phương trình a(x + y + 1) - x - 2y = 0. Với a =...... thì đường thẳng (d) vuông góc với trục Oy.

Câu 2.10: Cho biểu thức Đề thi violympic toán lớp 9 vòng 13. Khi đó số nghiệm của phương trình x2 - 3Ax + 4 = 0 là:............

Bài 3: Đi tìm kho báu

Câu 3.1: Biết parabol (P): y = (a - 1)x2 + 2 đi qua điểm (2; -10). Vậy a = ...........

Câu 3.2: Kết quả của phép so sánh tan30o với cos 30o ta được tan30o ........ cos30o

Câu 3.3: Hàm số y = (m2 + 4m + 7)x2 nghịch biến với x ......... 0

Câu 3.4: Giá trị nhỏ nhất của biểu thức Đề thi violympic toán lớp 9 vòng 13là: ...........

Câu 3.5: Giá trị lớn nhất của biểu thức Đề thi violympic toán lớp 9 vòng 13là: ..............

Đáp án đề thi Violympic Toán lớp 9 vòng 13

Bài 1: Hãy điền số thích hợp vào chỗ chấm

Câu 1.1: 45

Câu 1.2: 1

Câu 1.3: 4

Câu 1.4: 12

Câu 1.5: 0

Câu 1.6: 4

Câu 1.7: 4

Câu 1.8: -2

Câu 1.9: 1,5

Câu 1.10: 0

Bài 2: Đỉnh núi trí tuệ

Câu 2.1: 4

Câu 2.2: 4

Câu 2.3: 6

Câu 2.4: 20

Câu 2.5: 23

Câu 2.6: -56

Câu 2.7: 5,76

Câu 2.8: 2016

Câu 2.9: 1

Câu 2.10: 2

Bài 3: Đi tìm kho báu

Câu 3.1: -2

Câu 3.2: <

Câu 3.3: <

Câu 3.4: 2

Câu 3.5: 3

Chọn file muốn tải về:
Đóng Chỉ thành viên VnDoc PRO/PROPLUS tải được nội dung này!
Đóng
79.000 / tháng
Đặc quyền các gói Thành viên
PRO
Phổ biến nhất
PRO+
Tải tài liệu Cao cấp 1 Lớp
30 lượt tải tài liệu
Xem nội dung bài viết
Trải nghiệm Không quảng cáo
Làm bài trắc nghiệm không giới hạn
Mua cả năm Tiết kiệm tới 48%
Xác thực tài khoản!

Theo Nghị định 147/2024/ND-CP, bạn cần xác thực tài khoản trước khi sử dụng tính năng này. Chúng tôi sẽ gửi mã xác thực qua SMS hoặc Zalo tới số điện thoại mà bạn nhập dưới đây:

Số điện thoại chưa đúng định dạng!
Số điện thoại này đã được xác thực!
Bạn có thể dùng Sđt này đăng nhập tại đây!
Lỗi gửi SMS, liên hệ Admin
Sắp xếp theo
🖼️

Luyện thi

Xem thêm
🖼️

Gợi ý cho bạn

Xem thêm