Đề thi Violympic Toán lớp 9 vòng 15 năm 2016 - 2017
Đề thi Violympic Toán lớp 9 vòng 15 năm 2016 - 2017
Đề thi Violympic Toán lớp 9 vòng 15 năm 2016 - 2017. Ở vòng thi đấu 15 này các bạn học sinh phải vượt qua 3 bài thi: Sắp xếp theo thứ tự tăng dần, đừng để tiền rơi và mười hai con giáp. Đi kèm với đề thi là đáp án chính xác đã được chúng tôi cập nhật đầy đủ và chính xác để các bạn có thể đối chiếu kết quả ngay sau khi làm xong. Mời các bạn cùng tham khảo.
Đề thi Violympic Toán lớp 8 vòng 15 năm 2016 - 2017
Đề thi Violympic Toán lớp 7 vòng 15 năm 2016 - 2017
Đề thi Violympic Toán lớp 6 vòng 15 năm 2016 - 2017
Mời làm: Đề thi Violympic Toán lớp 9 vòng 15 năm 2016 - 2017 Online
Bài 1: Sắp xếp theo thứ tự tăng dần

Trả lời: Các giá trị theo thứ tự tăng dần
1 < ....< ....< ....< ....< ....< ....< ....< ....< ....
Bài 2: Đừng để điểm rơi
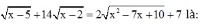
Câu 1: ![]()
Câu 2: Tổng các nghiệm của phương trình (x2 - 17)(x2 - 20)(x2 - 2017) = 0 là...
Câu 3: Cho biết 2 đường thẳng y = x + m - 1 và y = 2x + 4 - m cắt nhau tại 1 điểm nằm trên trục hoành khi đó m =...
Câu 4: Khoảng cách từ gốc tọa độ 0 đến đường thẳng y = -3/4x + 3 là ...
Câu 5: Giá trị nhỏ nhất của biểu thức
là...
Câu 6: Tam giác ABC cân ở A, AB = 9cm; BC = 12cm. Đường cao AH, I là hình chiếu của H trên AC, K là hình chiếu của I trên AH. Độ dài đoạn KI là...
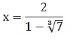
Câu 7: Nghiệm lớn nhất của phương trình
là...
Câu 8: Khoảng cách giữa hai đường thẳng y = 2x + 3 và y = 2x - 4 là...
Câu 9: Cho tam giác ABC có góc BAC = 1200, AB = 4cm, AC = 6cm. Độ dài đường trung tuyến AM của tam giác ABC là... cm
Câu 10: Cho biểu thức
. Giá trị lớn nhất của M =...
Bài 3: Mười hai con giáp
Câu 1:

A) √3 - 1
B) √3
C) √3(2 - √3)
D) √3 + 1
Câu 2: Nghiệm nhỏ nhất của phương trình 3x4 - 6x3 - 15x2 + 22x - 12 = 0 là
A) x = 3
B) ![]()
C) x = -3
D) ![]()
Câu 3: Kết quả rút gọn của biểu thức ![]()
A) 3
B) 5
C) 2
D) 4
Câu 4: Cho tam giác ABC vuông ở A, đường cao AH; Gọi E, F theo thứ tự là hình chiếu của H trên AB, AC. Biết AB = 5, AC = 12. Tính AF.FC + AE.EB =...
A) 60/13
B) 13/30
C) 3600/169
D) 169/3600
Câu 5: ![]()
A) 10
B) 2√3 -4
C) 10 - 2√3
D) 10 + 2√3
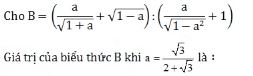
Câu 6: ![]()
A) 2
B) 1
C) 0,5
D) -2
Câu 7: Tỉ số giữa bán kính của đường tròn ngoại tiếp và bán kính đường tròn nội tiếp tam giác vuông có góc nhọn bằng 300 là:
A) √3 - 1/2
B) √3 - 1
C) √3 + 1/2
D) √3 + 1
Câu 8: Nghiệm của phương trình ![]()
A) x = 50
B) x = 53
C) x = 55
D) x = 54
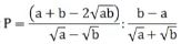
Câu 9: Rút gọn biểu thức ta được kết quả là: ![]()
A) P = √b - √a
B) P = -1
C) P = 1
D) P = a - b
Câu 10: Cho tam giác ABC vuông ở A, đường cao AH = 9, trung tuyến AM = 16,. E, F thứ tự là hình chiếu của H trên AB, AC. Giá trị của biểu thức
A) 36
B) 36√3
C) 18√2
D) 36√2
Đáp án đề thi Violympic Toán lớp 9 vòng 15 năm 2016 - 2017
Bài 1: Sắp xếp theo thứ tự tăng dần
1 < 4 < 14 < 2 < 20 < 7 < 15 < 8 < 17 < 6 < 9 < 19 < 13 < 18 < 5 < 16 < 10 < 11 < 2 < 12
1<4<14<2<20<7<15<8<17<6<9<19<13<18<5<16<10<11<2<12
Bài 2: Đừng để điểm rơi
| Câu 1: 30 Câu 2: 0 Câu 3: 2 Câu 4: 12/5 Câu 5: 11 |
Câu 6: 10/3 Câu 7: 7/4 Câu 8: 3,13 Câu 9: 4,36 Câu 10: 1/8 |
Bài 3: Mười hai con giáp
| Câu 1: A Câu 2: C Câu 3: C Câu 4: C Câu 5: A |
Câu 6: A Câu 7: D Câu 8: D Câu 9: B Câu 10: C |