Đề thi Violympic Toán lớp 8 vòng 15 năm 2016 - 2017
Đề thi Violympic Toán lớp 8 vòng 15 năm 2016 - 2017
Kì thi Olympic Toán là thời gian đầy căng thẳng và áp lực với kỳ vọng của thầy cô, cha mẹ, bạn bè. Hiểu được tâm trạng ấy và mong muốn các bạn học sinh đạt kết quả cao hơn, VnDoc đã sưu tầm và xin được giới thiệu: Đề thi Violympic Toán lớp 8 vòng 15 năm 2016 - 2017. Hi vọng đây sẽ là tài liệu tham khảo hữu ích cho các bạn học sinh.
Đề thi Violympic Toán lớp 6 vòng 15 năm 2016 - 2017
Đề thi Violympic Toán lớp 7 vòng 15 năm 2016 - 2017
Mời làm: Đề thi Violympic Toán lớp 8 vòng 15 năm 2016 - 2017 Online
Bài 1: Đi tìm kho báu
Câu 1: Trung bình cộng của năm số là 54. Trung bình cộng của hai số đầu tiên là 48. Giá trị trung bình cộng của ba số cuối là
A) 56
B) 55
C) 58
D) 57
Câu 2: Chiều dài một cạnh góc vuông của tam giác vuông là 5cm, chiều dài của cạnh huyền là 13cm thì diện tích tam giác vuông đó là ... cm2
Câu 3: Chữ số tận cùng của số 1919 + 9999 là:
A) 9
B) 8
C) 1
D) 2
Câu 4: Hình thang ABCD ( AD//BC, AD > BC) có diện tích là 164cm2. Biết đường cao của hình thang là 8cm, AB = 10cm, CD = 17cm. Khi đó độ dài của cạnh BC là:
A) 11cm
B) 13cm
C) 10cm
D) 12cm
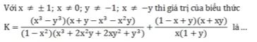
Câu 5: Biểu thức rút gọn của
với (x ≠ 0; x - 2Y + 2 ≠ 0) là
A) ![]()
B) ![]()
C) ![]()
D) ![]()
Bài 2: Mười hai con giáp
Câu 1:

Câu 2: Cho hình bình hành ABCD. Một đường thẳng qua A cắt đoạn thẳng DB, DC theo thứ tự ở E và G. Biết DE/EB = 1/2 thì tỉ số DG/DC là:...
Câu 3: Hai cạnh bên AB và CD của hình thành ABCD kéo dài cắt nhau tại O. Biết AB = 10cm, CD = 15cm, OB = 8cm khi đó độ dài OC là... cm
Câu 4: Cho tam giác ABC có E là trung điểm của AC, D là trung điểm của BC. Gọi P là giao điểm của BE và AD. Biết AD = 18cm thì độ dài PD là... cm
Câu 5:

Câu 6:
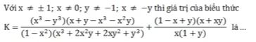
![]()
Câu 7:

Câu 8:
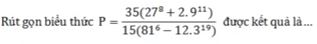
![]()
Câu 9: Cho x và y thỏa mãn x + y = 2. Giá trị nhỏ nhất của biểu thức P = (1 + x4) (1 + y4) + 4(xy - 1)(3xy - 1) =...
Câu 10: Tam giác ABC có diện tích là 20cm2 và cạnh BC là 8cm. Đường cao tương ứng vối cạnh BC có độ dài là... cm
Bài 3: Đừng để điểm rơi
Câu 1: Cho B là một số khác 0, nếu A là 36% của B và C là 40% của B thì tỉ số A/C có giá trị là...
Câu 2: Số nghiệm của phương trình 8x - 3 = 8x + 2017 là...
Câu 3: Nếu xy = 2 và x2 + y2 = 5 thì x/y + y/x có giá trị là...
Câu 4: Nghiệm x > 0 của phương trình x2 - 6x + 9 = 49 là x =...
Câu 5: Biết tổng các góc ngoài của đa giác lồi n cạnh bằng hai lần tổng các góc trong thì giá trị của n là....
Câu 6: Cho tam giác ABC có AB = 8cm, AC = 15cm và BC = 17cm. Khi đó độ dài đường cao AH là... cm
Câu 7: Đa thức x4 + ax2 + 1 chia hết cho đa thức x2 + x + 1. Khi đó giá trị của a =...
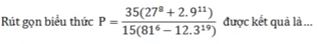
Câu 8: Số nguyên dương x để biểu thức
có giá trị là một số nguyên là...
Câu 9:

Đáp án đề thi Violympic Toán lớp 8 vòng 15 năm 2016 - 2017
Bài 1: Đi tìm kho báu
Câu 1: C
Câu 2: 30
Câu 3: B
Câu 4: C
Câu 5: A
Bài 2: Mười hai con giáp
| Câu 1: 1 Câu 2: 1/2 Câu 3: 12 Câu 4: 6 Câu 5: 1/6 |
Câu 6: 3 Câu 7: -1/2 Câu 8: 5 Câu 9: 4 Câu 10: 5 |
Bài 3: Đừng để điểm rơi
| Câu 1: 9/10 Câu 2: 0 Câu 3: 5/2 Câu 4: 10 Câu 5: 3 |
Câu 6: 120/17 Câu 7: 1 Câu 8: 5 Câu 9: -15 |