Đề thi Violympic Toán lớp 8 vòng 11 năm 2016 - 2017
Đề thi Violympic Toán lớp 8 vòng 11 năm 2016 - 2017
Nhằm mang đến cho quý thầy cô cùng các bạn học sinh lớp 8 những tài liệu chất lượng phục vụ quá tình ôn tập cho kì thi Violympic môn Toán. Chúng tôi đã sưu tầm và xin được gửi tới bạn: Đề thi Violympic Toán lớp 8 vòng 11 năm 2016 - 2017. Tài liệu gồm đề bài của vòng 11 cùng với đáp án. Với tài liệu này chúng tôi hi vọng rằng các bạn học sinh sẽ đạt được kết quả cao ở các vòng thi tiếp theo.
Đề thi Violympic Toán lớp 8 vòng 2 năm 2016 - 2017
Bộ đề thi Violympic Toán lớp 8 năm học 2016 - 2017
Đề thi Violympic Toán lớp 8 vòng 3 năm 2016 - 2017
Mời làm: Đề thi Violympic môn Toán lớp 8 vòng 11 năm học 2016 - 2017 Online
Đề thi Violympic Toán lớp 8 vòng 11 năm 2016 - 2017
Bài 1: Đừng để điểm rơi
Câu 1: Giá trị của biểu thức A = 5002/(1272 - 1232) = ...
Câu 2: Nếu các góc của một tam giác có số đo lần lượt là: (2x + 15)0; (10x – 20)0 và (3x + 2)0
Tính giá trị của biểu thức A = 15x – 3 là ...
Câu 3: Kết quả của phép tính (9x – 9y)/(5x2 – 5y2).(x + y)/3 là ...
(Nhập kết quả dưới dạng số thập phân thu gọn)
Câu 4: Cho hình vuông MNPQ có chu vi là 36cm, thì diện tích hình vuông MNPQ là ...cm2.
Câu 5: Cho hình bình hành ABCD có số đo các góc theo đơn vị độ là:
![]()
Khi đó số đo của góc DAB là ...0
Câu 6: Giá trị của biểu thức A = (2 + 1)(22 + 1)(24 + 1)(28 + 1) - 216 là ...
Câu 7: Cho hình vuông ABCD có diện tích là 36cm2. Gọi M và N lần lượt là trung điểm của các cạnh BC và CD. Khi đó diện tích của tam giác AMN là ... cm2.
Nhập kết quả dưới dạng số thập phân gọn nhất
Câu 8: Nếu x2 + y2 = 25 và x2 - y2 = 7 thì giá trị của biểu thức x4 + y4 =...
Câu 9: Số dư khi chia 19992016 cho 5 là ...
Câu 10: Số tự nhiên x, thỏa mãn đẳng thức 9x + 2. (3x + 2) = 243 là ...
Bài 2: Mười hai con giáp
Câu 1: Cho hình chữ nhật ABCD có AB = 8cm và AB nhỏ hơn BC là 3cm. Khi đó diện tích hình chữ nhật ABCD là ...cm2
Câu 2: Cho x, y là hai số thỏa mãn 0 < x < y, y - x = 7 và xy = 60. Khi đó giá trị của x + y = ...
Câu 3: Cho hình vuông ABCD có AB = 16cm, AB cắt BD tại O. Một góc vuông xOy, có tia Ox cắt cạnh AB tại E và tia Oy cắt cạnh BC tại F. Khi đó diện tích tứ giác OEBF là ...cm2
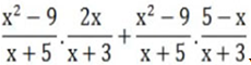
Câu 4: Kết quả của phép tính
(với x ≠ ± 1) là:

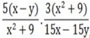
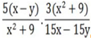
Câu 5: Kết quả của phép tính
(với x ≠ y) là ...
Câu 6: Cho ΔABC có diện tích là 20cm2. Gọi AM là đường trung tuyến của ΔABC. Khi đó diện tích tam giác ABM là ...cm2
Câu 7: Kết quả của phép tính
với x ≠ - 5; x ≠ - 3 là:
A. x - 3 B. x + 3
C. 1/(x - 3) D. 1/(x + 3)
Câu 8: Giá trị của x < 0, thỏa mãn (x + 1)(x + 2)(x + 3)(x + 4) = 24 là ...
Câu 9: Giá trị lớn nhất của biểu thức P = (8x + 12)/x2 + 4 là:
Câu 10: Giá trị của x, để biểu thức A = x3 + 3x2 + 3x + 1 có giá trị là 1000 là ...
Bài 3: Đi tìm kho báu
Câu 1: Cho đa thức f(x) = 2x - 4, biết f(x) = 2016 thì giá trị của x là ...
Câu 2: Diện tích hình vuông MNPQ có cạnh 1,25cm là ... cm2.
Câu 3: Diện tích của một hình chữ nhật là 60cm2 và chiều dài của hình chữ nhật đó là 12cm thì chu vi của hình chữ nhật đó là ...cm
Câu 4: Cho ΔMNP vuong tại M, dựng hình chữ nhật MPKN. Nếu MN = 12cm, NP = 13cm. Khi đó diện tích hình chữ nhật MPKN là ... cm2
Câu 5: Giá trị của biểu thức A = (1 – 2/5)(1 – 2/7)(1 – 2/9) ... (1 – 2/79) là ...
(Nhập kết quả dưới dạng phân số tối giản)
Đáp án đề thi Violympic Toán lớp 8 vòng 11 năm 2016 - 2017
Bài 1
|
Câu 1: 250 Câu 2: 180 Câu 3: 0,6 Câu 4: 81 Câu 5: 121 |
Câu 6: - 1 Câu 7: 13,5 Câu 8: 337 Câu 9: 1 Câu 10: 2 |
Bài 2
|
Câu 1: 88 Câu 2: 17 Câu 3: 64 Câu 4: B Câu 5: 1 |
Câu 6: 10 Câu 7: A Câu 8: - 5 Câu 9: 4 Câu 10: 9 |
Bài 3
|
Câu 1: 1010 Câu 2: 1,5625 Câu 3: 34 |
Câu 4: 25 Câu 5: 3/79
|