Giao diện mới của VnDoc Pro: Dễ sử dụng hơn - chỉ tập trung vào lớp bạn quan tâm. Vui lòng chọn lớp mà bạn quan tâm: Lưu và trải nghiệm
Đóng
Điểm danh hàng ngày
  • Hôm nay +3
  • Ngày 2 +3
  • Ngày 3 +3
  • Ngày 4 +3
  • Ngày 5 +3
  • Ngày 6 +3
  • Ngày 7 +5
Bạn đã điểm danh Hôm nay và nhận 3 điểm!
Nhắn tin Zalo VNDOC để nhận tư vấn mua gói Thành viên hoặc tải tài liệu Hotline hỗ trợ: 0936 120 169

Đề thi Violympic Toán lớp 9 vòng 16 năm 2015 - 2016

Lớp: Lớp 9
Môn: Toán
Loại File: Word + PDF
Phân loại: Tài liệu Tính phí

Đề thi Violympic Toán lớp 9 vòng 16

Đề thi Violympic Toán lớp 9 vòng 16 năm 2015 - 2016 là đề thi giải Toán qua mạng có đáp án đi kèm, hi vọng giúp các em học sinh ôn tập và củng cố kiến thức, nhằm đạt kết quả cao trong các vòng tiếp theo của cuộc thi Violympic giải Toán qua mạng năm học 2015 - 2016.

Đề thi Violympic Toán lớp 9 vòng 14 năm 2015 - 2016

Đề thi Violympic Toán lớp 9 vòng 15 năm 2015 - 2016

Mời làm: Đề thi Violympic Toán lớp 9 vòng 16 năm 2015 - 2016 trực tuyến

Bài 1: Hãy điền số thích hợp vào chỗ chấm

Câu 1.1: Cho hàm số y = (3 - 2√2x) + √2 - 1. Giá trị của y khi x = 3 + 2√2 là .........

Câu 1.2: Cho hàm số y = (m2 - 3m)x2 + (2m2 + m)x + 3. Với giá trị nào của m thì hàm số đã cho là hàm bậc nhất.

Câu 1.3: Cho tam giác ABC cân tại A, đường cao AH bằng 10cm, đường cao BK bằng 12cm. Độ dài cạnh đáy BC là .....cm.

Câu 1.4: Cho hàm số y = f(x) = 2x2 + 3x + 2. Với giá trị dương nào của x để f(x) = 7.

Câu 1.5: Cho hàm số y = (a + 2)x + 5. Tìm a để đồ thị của hàm số song song với đường thẳng y = -3x.

Câu 1.6: Cho hàm số y = (m2 - √3.m - √2.m + √6)x + 17. Số giá trị của m để đồ thị hàm số đi qua điểm A(1; 17) là ............

Câu 1.7: Cho hàm số (d1): y = 2mx + 3 và (d2): y = (m + 1)x + 9. Để (d1) song song với (d2) thì m = ..........

Câu 1.8: Cho tam giác ABC cân tại A có BC = 24cm, AC = 20cm. Độ dài bán kính đường tròn tâm O nội tiếp tam giác ABC là .......... cm.

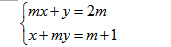
Câu 1.9: Cho hệ phương trình: Đề thi Violympic Toán lớp 9 vòng 16

Tìm giá nguyên âm của m để hệ phương trình trên có nghiệm (x; y) nguyên.

Câu 1.10: Cho b > a > 0 thỏa mãn: 2a2 + 2b2 = 5ab. Khi đó giá trị của biểu thức: Đề thi Violympic Toán lớp 9 vòng 16 là ...........

Bài 2: Đi tìm kho báu

Câu 2.1: Cho hàm số: y = (9m + 2/3)x - 15. Khi m < ........ thì hàm đã cho nghịch biến trên R.

Câu 2.2: Cho hàm số bậc nhất y = ax + 8. Tìm a biết rằng đồ thị hàm số đi qua điểm A(-1; 3).

Câu 2.3: Đồ thị hàm số y = ax + b đi qua hai điểm A(2; 4), B(6; 8). Khi đó a + b = ...........

Câu 2.4: Cho hàm số y = 2x2 có đồ thị là (P) và đường thẳng (d): y = mx - 8. Để (d) tiếp xúc với (P) tại điểm có hoành độ bằng 2 thì giá trị của m = ...............

Câu 2.5: Cho 2 số x; y thỏa mãn: (2x - y - 4)2020 + (3x + 2y - 13)2020 = 0. Giá trị của biểu thức A = (x - y)2023 + 2015 bằng.........

Bài 3: Đỉnh núi trí tuệ

Câu 3.1: Cho đường thẳng (d): y = (n - 2)x + k (n ≠ 2). Đường thẳng (d) đi qua hai điểm A(-1; 6), B(3; -4) khi đó n + k = ........

Câu 3.2: Cho tam giác ABC cân tại A có BC = 24cm. Cho đường thẳng y = (1 - 8m)x + m - 2. Với giá trị nào của m thì đường thẳng đã cho đi qua gốc tọa độ.

Câu 3.3: Cho đường thẳng y = (1 + 5m)x + m - 6. Tìm m để đường thẳng cắt trục tung tại điểm có tung độ bằng 2.

Câu 3.4: Cho tam giác đều ABC cạnh bằng 3. Bán kính đường trong ngoại tiếp tam giác ABC có độ dài là .........

Câu 3.5: Cho tam giác ABC đều nội tiếp đường tròn (O), điểm D di động trên cung nhỏ BC. Trên AD lấy điểm M sao cho DB = DM. Số đo góc AMB = ........o.

Câu 3.6: Cho đường tròn (O), hai bán kính OA và OB hợp với nhau một góc bằng 120o. Số đo cung lớn AB là ..........o.

Câu 3.7: Biết phương trình mx2 - 3x - 5 = 0 có một nghiệm là 5/2, nghiệm còn lại của phương trình là ...........

Câu 3.8: Trên mặt phẳng tọa độ Oxy cho hàm số y = ax2 có đồ thị là (P). Biết (P) cắt đường thẳng (d): y = -x - 2 tại điểm có hoành độ là 2. Giá trị của a = ..........

Câu 3.9: Cho tam giác ABC vuông tại A, AB = 15cm, AC = 20cm. Vẽ đường tròn tâm A bán kính R tiếp xúc với BC. Độ dài R = .... cm.

Câu 3.10: Giá trị nguyên lớn nhất của m để đồ thị hàm số (m là tham số) tạo với trục Ox một góc nhọn là m = ............

Đáp án đề thi Violympic Toán lớp 9 vòng 16

Bài 1: Hãy điền số thích hợp vào chỗ chấm

Câu 1.1: 1,41

Câu 1.2: 3

Câu 1.3: 15

Câu 1.4: 1

Câu 1.5: -5

Câu 1.6: 2

Câu 1.7: 1

Câu 1.8: 6

Câu 1.9: -2

Câu 1.10: -3

Bài 2: Đi tìm kho báu

Câu 2.1: - 2/27

Câu 2.2: 5

Câu 2.3: 3

Câu 2.4: 8

Câu 2.5: 2016

Bài 3: Đỉnh núi trí tuệ

Câu 3.1: 3

Câu 3.2: 2

Câu 3.3: 8

Câu 3.4: 1

Câu 3.5: 120

Câu 3.6: 240

Câu 3.7: -1

Câu 3.8: -1

Câu 3.9: 12

Câu 3.10: -6

Chọn file muốn tải về:
Đóng Chỉ thành viên VnDoc PRO/PROPLUS tải được nội dung này!
Đóng
79.000 / tháng
Đặc quyền các gói Thành viên
PRO
Phổ biến nhất
PRO+
Tải tài liệu Cao cấp 1 Lớp
30 lượt tải tài liệu
Xem nội dung bài viết
Trải nghiệm Không quảng cáo
Làm bài trắc nghiệm không giới hạn
Mua cả năm Tiết kiệm tới 48%

Có thể bạn quan tâm

Xác thực tài khoản!

Theo Nghị định 147/2024/ND-CP, bạn cần xác thực tài khoản trước khi sử dụng tính năng này. Chúng tôi sẽ gửi mã xác thực qua SMS hoặc Zalo tới số điện thoại mà bạn nhập dưới đây:

Số điện thoại chưa đúng định dạng!
Số điện thoại này đã được xác thực!
Bạn có thể dùng Sđt này đăng nhập tại đây!
Lỗi gửi SMS, liên hệ Admin
Sắp xếp theo
🖼️

Toán 9

Xem thêm
🖼️

Gợi ý cho bạn

Xem thêm