Giải bài tập Hóa 10 nâng cao bài 27
Hóa học 10 - Luyện tập chương 4
VnDoc xin giới thiệu tới các bạn học sinh tài liệu Giải bài tập Hóa 10 nâng cao bài 27, tài liệu gồm 11 bài tập trang 112, 113 SGK kèm theo lời giải chi tiết sẽ giúp các bạn học sinh rèn luyện giải bài tập Hóa học nhanh và chính xác nhất. Mời các bạn học sinh tham khảo.
Giải bài tập Hóa 10 nâng cao bài 23
Giải bài tập Hóa 10 nâng cao bài 24
Giải bài tập Hóa 10 nâng cao
Bài 1 (trang 112 sgk Hóa 10 nâng cao): Trong phản ứng hóa học sau: Cl2 + 6KOH -> KClO3 + 5KCl + 3H2O.Cl2 đóng vai trò gì?
A. Chỉ là chất oxi hóa.
B. Chỉ là chất khử.
C. Vừa chất oxi hóa, vừa là chất khử.
D. Không phải chất oxi hóa, không phải chất khử
Lời giải:
Chọn C.
![]()
Số oxi hóa của Cl2 vừa tăng vừa giảm nên Cl2 vừa là chất oxi hóa vừa là chất khử
Bài 2 (trang 112 sgk Hóa 10 nâng cao): Trong phản ứng hóa học sau:
3K2MnO4+ 2H2O → 2KMnO4 + MnO2 + 4KOH, nguyên tố mangan đóng vai trò gì?
A. Chỉ bị oxi hóa.
B. Chỉ bị khử.
C. Vừa bị oxi hóa, vừa bị khử.
D. Không bị oxi hóa, không bị khử.
Tìm đáp án đúng.
Lời giải:
Chọn C
![]()
Ta thấy số oxi hóa của nguyên tố Mn vừa tăng và vừa giảm nên nó vừa là chất oxi hóa, vừa là chất khử.
Bài 3 (trang 112 sgk Hóa 10 nâng cao): Những câu sau đây là đúng hay sai?
A. Nhiên liệu là chất oxi hóa.
B. Khi đốt cháy hoàn toàn một hiđrocacbon, nguyên tố cacbon chuyển thành cacbon monooxit.
C. Sự chuyển một chất từ trạng thái lỏng sang trạng thái rắn là một biến đổi vật lí tỏa nhiệt.
D. Sự bay hơi là một biến đổi hóa học
Lời giải:
Câu đúng là A, C.
Câu sai là B, D.
Bài 4 (trang 112 sgk Hóa 10 nâng cao): Hãy nêu ví dụ về phản ứng phân hủy tạo ra:
a) hai đơn chất.
b) hai hợp chất.
c) một đơn chất và một hợp chất..
Hãy cho biết các phản ứng đó có phải là phản ứng oxi hóa-khử hay không? Giải thích.
Lời giải:
Phản ứng phân hủy
a) Hai đơn chất: 2HgO-> 2Hg + O2 ; H2S ->H2 + S
b) Hai hợp chất: Cu(OH)2 -> CuO+ H2O CaCO3-> CaO + CO2
c) Một đơn chất và một hợp chất: 2KClO3 -> 2KCl + 3O2
2KNO3 -> 2KNO2 + O2
Ở a) và c) số oxi hóa của các nguyên tố thay đổi;
Ở b) số oxi hóa không thay đổi.
Bài 5 (trang 112 sgk Hóa 10 nâng cao): Hãy nêu ra ví dụ về phản ứng hóa hợp của:
a) hai đơn chất.
b) hai hợp chất.
c) một đơn chất và một hợp chất.
Hãy cho biết các phản ứng đó có phải là phản ứng oxi hóa-khử hay không? Giải thích.
Lời giải:
Phản ứng hóa hợp:
a) Hai đơn chất: 2H2 + O2 → 2H2O; 2K + Cl2 → 2KCl
b) Hai hợp chất: CaO + H2O → Ca(OH)2; SO3 + H2O → H2SO4
c) Từ một đơn chất và một hợp chất: 2SO2 + O2 → 2SO3;
4FeO + O2 → 2FO2O3
Ở a) và c) số oxi hóa của các nguyên tố thay đổi; ở b) số oxi hóa không thay đổi.
Bài 6 (trang 113 sgk Hóa 10 nâng cao): Hãy nêu ví dụ về phản ứng tạo ra muối từ:
a) hai đơn chất,
b) hai hợp chất.
c) một đơn chất và một hợp chất.
Hãy cho biết các phản ứng đó có phải là phản ứng oxi hóa-khử hay không? Giải thích.
Lời giải:
Phản ứng tạo muối.
a) Từ hai đơn chất: Fe + S -> FeS ; 2Na + Cl2 -> 2NaCl
b) Từ hai hợp chất: HCl + KOH -> KCl + H2O ; K2O + CO2 -> K2CO3
c) Từ một đơn chất và một hợp chất: Al + 6HNO3 -> A1(NO2)3 + 3NO2 +3H2O
Cl2 + 2KOH -> KCl + KClO + H2O
Ở phản ứng a) và c) có sự thay đổi số oxi hóa của các nguyên tố; ở phản ứng b) không có sự thay đổi số oxi hóa.
Bài 7 (trang 113 sgk Hóa 10 nâng cao): NaOH có thể được điều chế bằng:
a) Một phản ứng hóa hợp.
b) Một phản ứng thế.
c) Một phản ứng trao đổi.
- Hãy dẫn ra phản ứng hóa học cho mỗi trường hợp trên.
- Hãy cho biết các phản ứng đó có phải là phản ứng oxi hóa-khử hay không? Giải thích.
Lời giải:
Phản ứng điều chế NaOH
a) Một phản ứng hóa hợp: Na2O + H2O -> 2NaOH.
b) Một phản ứng thế: 2Na + 2H2O -> 2NaOH + H2
c) Một phản ứng trao đổi: Na2CO3 + Ba(OH)2 -> 2NaOH + BaCO3
ở phản ứng b) là phản ứng oxi hóa-khử vì có sự thay đổi số oxi hóa của các nguyên tố trước và sau phản ứng; phản ứng a) và c) không là phản ứng oxi hóa khử vì không có sự thay đổi số oxi hóa.
Bài 8 (trang 113 sgk Hóa 10 nâng cao): Hãy cho biết số oxi hóa của nitơ trong các phân tử và ion dưới đây:
Đinitơ oxit N2O; Axit nitric HNO3 Ion nitrit NO2-;
Hidrazin N2H4; Hiđroxylamin NH2OH; AmoniacNH3;
Nitơ đioxit NO2; Ion nitrat NO3- ; Ion hidrazini N2H5;
Axit nitrơ HNO2; Đinitơ pentaoxit N2O5; lon amoni NH4+;
Khí nitơ N2; Nitơ monooxit NO; Đinitơ tetraoxit N2O4.
Lời giải:
Số oxi hóa của nitơ trong các phân tử và ion là:

Bài 9 (trang 113 sgk Hóa 10 nâng cao): Lập phương trình hóa học của các phản ứng oxi hóa-khử dưới đây:
a) NaClO + KI + H2SO4 -> I2 + NaCl + K2SO4 + H2O
b) Cr2O3 + KNO3 + KOH -> K2CrO4 +H2O + KNO2
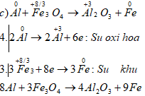
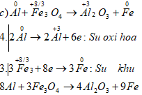
c) Al + Fe3O4 -> A12O3 + Fe
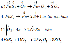
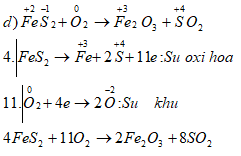
d) FeS4 + O2 -> Fe2O3 + SO2
e) Mg + HNO3->Mg(NO3)2 + NH4NO3 + H2O.
Lời giải:





Bài 10 (trang 113 sgk Hóa 10 nâng cao): Hoàn thành các phương trình hóa học dưới đây:
a) KMnO2 + HCl -> Cl2 + MnCl2 + ...
b) SO2 + HNO3+ H2O -> NO + ...
c) AS2S3 + HNO3 + H2O-> H3ASO4 + NO + H2SO4
Lời giải:



Bài 11 (trang 113 sgk Hóa học 10 nâng cao): Cho kali iotua tác dụng với kali pemanganat trong dung dịch axit sunfuric, ngựời ta thu dựợc l,2g mangan (II) sunfat.
a) Tính số gam iot tạo thành.
b) Tính khối lượng kalii otua tham gia phản ứng.
Lời giải:
a) Tính số gam iot tạo thành
Phản ứng xảy ra:
10KI+2KMnO4 + 8H2SO4 → 6K2SO4 + 2MnO4 + 5I2 + 8H2O (1)
-----------------------------------
Trên đây VnDoc.com đã giới thiệu tới bạn đọc tài liệu: Giải bài tập Hóa 10 nâng cao bài 27. Để có kết quả cao hơn trong học tập, VnDoc xin giới thiệu tới các bạn học sinh tài liệu Giải bài tập Toán 10, Giải bài tập Vật Lí 10, Giải bài tập Sinh học 10, Giải bài tập Hóa học 10 mà VnDoc tổng hợp và đăng tải.