Giải bài tập Hóa 10 nâng cao bài 5
Hóa học 10 - Luyện tập về: Thành phần cấu tạo nguyên tử. Khối lượng của nguyên tử. Obitan nguyên tử
VnDoc xin giới thiệu tới bạn đọc tài liệu Giải bài tập Hóa 10 nâng cao bài 5, nội dung tài liệu gồm 5 bài tập trang 22 SGK kèm theo lời giải chi tiết sẽ giúp các bạn học sinh có kết quả cao hơn trong học tập. Mời các bạn học sinh tham khảo.
Giải bài tập Hóa 10 nâng cao bài 1
Giải bài tập Hóa 10 nâng cao bài 2
Giải bài tập Hóa 10 nâng cao
Bài 1 (trang 22 sgk Hóa 10 nâng cao): Một nguyên tử của nguyên tố X có 75 electron và 110 nơtron. Hỏi kí hiệu nguyên tử nào sau đây là của nguyên tố X?
Lời giải:
Chọn C. Theo đề bài, trong (X) có 75 electron và 110 nơtron.
=> Z = 75 và A = 75 + 110 = 185.
Kí hiệu
\(_{75}^{185}X\)
Bài 2 (trang 22 sgk Hóa 10 nâng cao): Nguyên tử nào sau đây chứa đồng thời 20 nơtron, 19 proton và 19 electron?

Lời giải:
Chọn B.
Kí hiệu
\(_{19}^{39}K\) cho ta biết:
Số proton bằng 19 và số electron bằng 19. Số nơtron bằng 39 - 19 = 20.
Bài 3 (trang 22 sgk Hóa 10 nâng cao): Theo số liệu ở SGK hóa 10. Hãy tính:
a) Khối lượng (g) của nguyên tử nitơ (gồm 7 proton, 7 nơtron, 7 electron).
b) Tỉ số khối lượng của electron trong nguyên tử nitơ so với khối lượng của toàn nguyên tử.
Lời giải:
a) Khối lượng của nguyên tử nitơ:
Tổng khối lượng của electron: 7.9,1.10-28 = 63,7.10-28 (gam)
Tổng khối lượng của proton: 7.1,67.10-27 = 11,69.10-27 (gam)
Tổng khối lượng của nơtron: 7.1,675.10-24 = 11,725.10-24 (gam)
Khối lượng của nguyên tử nitơ:
mnguyên tử = Σmproton + Σmnotron + Σmelectron = 23,42.10-24 (g)
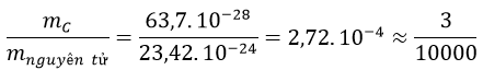
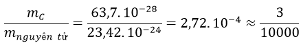
b) Tỉ số khối lượng của electron so với khối lượng nguyên tử nitơ:

Từ kết quả trên, ta có thể coi khối lượng nguyên tử bằng khối lượng hạt nhân nguyên tử.
Bài 4 (trang 22 sgk Hóa 10 nâng cao): Biết rằng nguyên tố argon có ba đồng vị khác nhau, ứng với số khối 36; 38 và A. Phần trăm số nguyên tử của các đồng vị tương ứng lần lượt bằng: 0, 34%; 0,06% và 99,6%. Tính số khối của đồng vị A của nguyên tố argon, biết nguyên tử khối trung hình của argon bằng 39,98.
Lời giải:
Nguyên tử khối trung bình của argon là:

=> A = 40
Vậy các đồng vị của argon là: 36Ar (0,34%); 38Ar (0,06%); 40Ar (99,6%).
Bài 5 (trang 22 sgk Hóa học 10 nâng cao): Nguyên tố Mg có ba đồng vị ứng với thành phần phần trăm như sau:
a) Tính nguyên tử khối trung bình của Mg.
b) Giả sử trong hỗn hợp nói trên có 50 nguyên tử 25Mg, thì số nguyên tử tương ứng của hai đồng vị còn lại là bao nhiêu?
Lời giải:
a) Nguyên tử khối trung bình của Mg:

b) Tỉ lệ các đồng vị: Theo tỷ lệ đã cho ta có:
| 24Mg | 26Mg | 26Mg |
| 78,99 nguyên tử | 10 nguyên tử | 11,01 nguyên tử |
| ? nguyên tử | 50 nguyên tử | ? nguyên tử |
Số nguyên tử 24Mg là:
50.78,99/10 = 395 (nguyên tử)
Số nguyên tử 26Mglà:
50.10,01/10 = 55 (nguyên tử)
Vậy nếu có 50 nguyên tử 25Mg thì có 395 nguyên tử 24Mg và 55 nguyên tử 26Mg.
-----------------------------------
Trên đây VnDoc.com đã giới thiệu tới bạn đọc tài liệu: Giải bài tập Hóa 10 nâng cao bài 5. Để có kết quả cao hơn trong học tập, VnDoc xin giới thiệu tới các bạn học sinh tài liệu Giải bài tập Toán 10, Giải bài tập Vật Lí 10, Giải bài tập Sinh học 10, Giải bài tập Hóa học 10 mà VnDoc tổng hợp và đăng tải.
