Giải bài tập Hóa 10 nâng cao bài 50
Hóa học 10: Cân bằng hóa học
VnDoc xin giới thiệu tới bạn đọc tài liệu Giải bài tập Hóa 10 nâng cao bài 50, nội dung tài liệu được VnDoc tổng hợp chi tiết và chính xác sẽ là nguồn thông tin hay để giúp các bạn học sinh rèn luyện giải bài tập Hóa học được tốt hơn. Mời các bạn học sinh tham khảo.
Giải bài tập Hóa 10 nâng cao bài 44
Giải bài tập Hóa 10 nâng cao bài 45
Giải bài tập Hóa 10 nâng cao
Bài 1 (trang 212 sgk Hóa 10 nâng cao): Hằng số cân bằng KC của một phản ứng phụ thuộc vào yếu tố nào sau đây?
A. Nồng độ.
B. Nhiệt độ.
C. Áp suất.
D. Sự có mặt chất xúc tác.
Lời giải:
Chọn B.
Bài 2 (trang 212 sgk Hóa 10 nâng cao): Cân bằng hóa học là gì? Tại sao nói cân bằng hóa học là cân bằng động? Hãy cho biết ý nghĩa của hằng số cân bằng KC. Hằng số cân bằng KC của một phản ứng có luôn luôn là một hằng số không?
Lời giải:
- Cân bằng hóa học là trạng thái của phản ứng thuận nghịch khi tốc độ phản ứng thuận bằng tốc độ phản ứng nghịch.
- Cân bằng hóa học là cân bằng động vì: ở trạng thái cân bằng không phải là phản ứng dừng lại, mà phản ứng thuận và phản ứng nghịch vẫn xảy ra nhưng tốc độ bằng nhau (vt = vn ). Điều này có nghĩa là trong một đơn vị thời gian số mol chất phản ứng giảm đi bao nhiêu theo phản ứng thuận lại được tạo ra bấy nhiêu theo phản ứng nghịch. Do đó cân bằng hóa học là cân bằng động.
- Ý nghĩa của hằng số cân bằng KC: Hằng số cân bằng KC cho thấy tích nồng độ các sản phẩm phản ứng lớn hơn hay bé hơn tích nồng độ các chất phản ứng bao nhiêu lần. Mặt khác, vì nó cho biết lượng các chất phản ứng còn lại và lượng các sản phẩm tạo thành ở vị trí cân bằng, do đó biết hiệu suất của phản ứng.
- Hằng số cân bằng KC của một phản ứng không luôn luôn là hằng số vì hằng số cân bằng phụ thuộc vào nhiệt độ. Tại một nhiệt độ, mỗi cân bằng hóa học có một hằng số cân bằng đặc trưng cho nó.
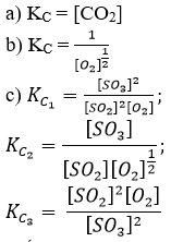
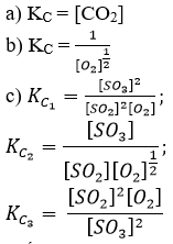
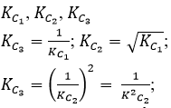
Bài 3 (trang 212 sgk Hóa học 10 nâng cao): Viết các biểu thức hằng số cân bằng cho các phản ứng sau:
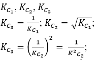
Hãy cho biết mối liên hệ giữa ba hằng số cân bằng ứng với ba trường hợp trong câu c) ở cùng nhiệt độ.
Lời giải:
Hằng số cân bằng của các phản ứng

Mối liên hệ giữa 3 hằng số

Bài 4 (trang 213 sgk Hóa 10 nâng cao): Sự chuyển dịch cân bằng hóa học là gì? Những yêu tố nào ảnh hưởng đến cân bằng hóa học? Chất xúc tác có ảnh hưởng đến cân bằng hóa học không? Vì sao?
Lời giải:
Sự dịch chuyển cân bằng hóa học là sự di chuyển từ trạng thái cân bằng này sang trạng thái cân bằng khác do tác động của các yếu tố từ bên ngoài lên cân bằng.
- Những yếu tố ảnh hưởng đến cân bằng hóa học là: nồng độ, áp suất và nhiệt độ
- Chất xúc tác không ảnh hưởng đến cân bằng hóa học vì chất xúc tác không làm biến đổi nồng độ các chất trong cân bằng và cũng không làm biến đổi hằng số cân bằng. Chất xúc tác làm tăng tốc độ phản ứng thuận và tốc độ phản ứng nghịch với số lần bằng nhau nên có tác dụng làm cho phản ứng thuận nghịch đạt tới trạng thái cân bằng nhanh chóng hơn.
Bài 5 (trang 213 sgk Hóa 10 nâng cao): Phát biểu nguyên lí Lơ Sa-tơ-li-ê và dựa vào cân bằng sau để minh họa:
C(r) + CO2(k) ⇌ 2CO(k); ΔH = 172KJ
Lời giải:
- Nguyên lí Lơ Sa-tơ-li-ê: "Một phản ứng thuận nghịch đang ở trạng thái cân bằng khi chịu một tác động bên ngoài, như biến đổi nồng độ, áp suất, nhiệt độ thì cân bằng sẽ chuyển dịch theo chiều làm giảm tác động bên ngoài đó".
- Áp dụng: Giảm áp suất, tăng nhiệt độ, tăng nồng độ CO2 hoặc giảm nồng độ CO cân bằng sẽ chuyển dịch theo chiều thuận.
Bài 6 (trang 213 sgk Hóa 10 nâng cao): Xét các hệ cân bằng sau trong một bình kín:
a) C(r) + H2O(k) → CO(k) + H2(k); ΔH = 131 kJ
b) CO(k) + H2O(k) → CO2(k) + H2(k); ΔH = - 41kJ
Các cân bằng trên chuyển dịch như thế nào khi biên đổi một trong các điều kiện sau:
- Tăng nhiệt độ.
- Thêm lượng hơi nước vào.
- Thêm khí H2 vào.
- Tăng áp suất chung bằng cách nén cho thể tích của hệ giảm xuống.
- Dùng chất xúc tác.
Lời giải:
a) C(r) + H2O(k) ⇌ CO(k) + H2(k); ΔH > 0
b) CO(k) + H2O(k) ⇌ CO2(k) + H2(k); ΔH < 0
| Phản ứng a | Phản ứng b | |
| Tăng nhiệt độ | → | ← |
| Thêm lượng hơi nước | → | → |
| Thêm khí H2 vào. | ← | ← |
| Tăng áp suất | ← | Không đổi |
| Chất xúc tác | Không đổi | Không đổi |
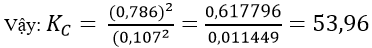
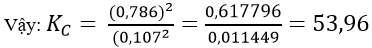
Bài 7 (trang 213 sgk Hóa 10 nâng cao): Cho biết phản ứng thuận nghịch sau:
H2(k) + I2(k) ⇌ 2HI(k)
Nồng độ các chất lúc cân bằng ở nhiệt độ 430oC như sau:
[H2] = [I2] = 0,107M; [HI] = 0,786M
Tính hằng số cân bằng KC của phản ứng ở 430oC.
Lời giải:
Biểu thức tính hằng số cân bằng

Thay các giá trị [HI] = 0,786M; [H2] = [I2] = 0,107M
![]()
Bài 8 (trang 213 sgk Hóa 10 nâng cao): Cho biết phản ứng sau:
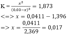
H2O(k) + CO(k) ⇌ H2(k) + CO2(k)
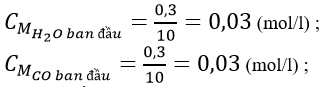
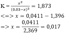
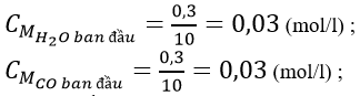
ở 700oC hằng số cân bằng KC = 1,873. Tính nồng độ H2O và CO ở trạng thái cân bằng, biết rằng hỗn hợp ban đầu gồm 0,300 mol H2O và 0,300 mol CO trong bình 10 lít ở 700oC.
Lời giải:

Gọi x là nồng độ nước phản ứng:

Ta có:

Vậy: [H2O] = 0,03 – 0,017 = 0,013 (M); [CO] = 0,013 (M)
Bài 9 (trang 213 sgk Hóa 10 nâng cao): Hằng số cân bằng KC của phản ứng:
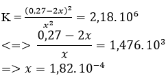
H2(k) + Br2(k) ⇌ 2HBr(k) ở 730oC là 2,18.106. Cho 3,20 mol HBr vào trong bình phản ứng dung tích 12,0 lít ở 730°C. Tính nồng độ của H2, Br2 và HBr ở trạng thái cân bằng.
Lời giải:
Ta có:
![]()
Gọi nồng độ của H2 và Br2 phản ứng là x

Ta có:

Vậy: [H2] = [Br2] = 1,82.10-4 M; [HBr] = 0,27 – 0,000364 ≈ 0,27M.
Bài 10 (trang 213 sgk Hóa 10 nâng cao): Iot bị phân hủy bởi nhiệt theo phản ứng sau:
I2(k) ⇌ 2I(k)
Ở 727oC hằng số cân bằng KC là 3,80.10-5. Cho 0,0456 mol I2 vào bình 2,30 lít ở 727°C. Tính nồng độ I2 và I ở trạng thái cân bằng.
Lời giải:
Ta có:
![]()
Gọi nồng độ iot bị chuyển hóa là x

Ta có:
![]()
Vậy: [I2] = 0,0198 – 0,000434 = 0,0194M; [I] = 0,86.10-3M
-----------------------------------
Trên đây VnDoc.com đã giới thiệu tới bạn đọc tài liệu: Giải bài tập Hóa 10 nâng cao bài 50. Để có kết quả cao hơn trong học tập, VnDoc xin giới thiệu tới các bạn học sinh tài liệu Giải bài tập Toán 10, Giải bài tập Vật Lí 10, Giải bài tập Sinh học 10, Giải bài tập Hóa học 10 mà VnDoc tổng hợp và đăng tải.
