Giải bài tập Hóa 10 nâng cao bài 42
Hóa học 10: Ozon và hiđro peoxit
VnDoc xin giới thiệu tới bạn đọc tài liệu Giải bài tập Hóa 10 nâng cao bài 42, tài liệu gồm 6 bài tập trang 166 SGK kèm theo lời giải chi tiết sẽ giúp các bạn học sinh giải bài tập Hóa học nhanh và hiệu quả nhất. Mời các bạn học sinh và thầy cô cùng tham khảo.
Giải bài tập Hóa 10 nâng cao bài 36
Giải bài tập Hóa 10 nâng cao bài 37
Giải bài tập Hóa 10 nâng cao
Bài 1 (trang 166 sgk Hóa 10 nâng cao): Hiđro peoxit có thể tham gia những phản ứng hóa học:
H2O2 + 2KI → I2 + 2KOH; H2O2 + Ag2O -> 2Ag + H2O + O2
Tính chất của H2O2 được diễn tả đúng nhất là:
A. hiđro peoxit chỉ có tính oxi hóa.
B. hiđro peoxit chỉ có tính khử.
C. hiđro peoxit không có tính oxi hóa, không có tính khử.
D. hiđro peoxit vừa có tính oxi hóa, vừa có tính khử.
Lời giải:
Chọn D.
Bài 2 (trang 166 sgk Hóa 10 nâng cao): Có hai bình, một đựng khí oxi, một đựng khí ozon. Hãy giới thiệu thuốc thử để phân biệt từng khí.
Lời giải:
Cho hai khí đi qua dung dịch KI có pha hồ tinh bột, dung dịch tạo màu xanh thì khí dẫn vào là O3, còn lại là O2.
2KI + O3 + H2O → I2 + 2KOH + O2 ↑
Bài 3 (trang 166 sgk Hóa học 10 nâng cao): Hãy dẫn ra những phản ứng hóa học để chứng minh cho tính chất của các chất sau:
a) Oxi và ozon cùng có tính oxi hóa, nhưng ozon có tính oxi hóa mạnh hơn oxi.
b) Nước và hiđro peoxit cùng có tính oxi hóa, nhưng hiđro peoxit có tính oxi hóa mạnh hơn nước.
Lời giải:
a) Oxi và ozon cùng có tính oxi hóa:
3O2 + 4Al -> 2A12O3;
O3 + 2Al -> Al2O3
Ozon có tính oxi hóa mạnh hơn oxi: 2Ag + O3 → Ag2O + O2
Oxi không phản ứng với Ag ở điều kiện thường.
H2O và H2O2 đều oxi hóa được CO nhưng H2O2 oxi hóa mạnh hơn H2O.
H2O2 là hợp chất không bền, dễ bị phân hủy thành H2O và O2.
Bài 4 (trang 166 sgk Hóa 10 nâng cao): Ozon và hiđro peoxit có những tính chất hóa học nào giống nhau, khác nhau? Lấy ví dụ minh họa.
Lời giải:
Giống nhau: Đều có tính oxi hóa.
O3 + 2KI + H2O -> I2 + 2KOH + O2
H2O2 + 2KI -> I2 + 2KOH
Khác nhau: H2O2 có tính khử
H2O2 + Ag2O -> 2Ag + H2O + O2.
Bài 5 (trang 166 sgk Hóa 10 nâng cao): Có hỗn hợp khí oxi và ozon. Sau một thời gian, ozon bị phân hủy hết, ta được một chất khí duy nhất có thể tích tăng thêm 2%.
Hãy xác định thành phần phần trăm theo thể tích của hỗn hợp khí ban đầu. Biết các thể tích khí được đo ở cùng điều kiện nhiệt độ, áp suất
Lời giải:
Đặt số mol O2 ban đầu và số mol O3 ban đầu lần lượt là a mol và b mol
Xét 1 mol hỗn hợp => (a + b) = 1
2O3 -> 3O2
b -> 1,5b
Vì O2 đã bị phân hủy hết nên sau phản ứng: O2 (a + 1,5b) mol
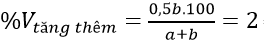
Số mol khí tăng thêm: (a + l,5b) - (a + b) = 0,5b mol
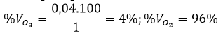
Theo đề bài:
![]()
=> b = 0,04 => a = 0,96
Thành phần phần trăm thể tích các khí trong hỗn hợp đầu:

Bài 6* (trang 166 sgk Hóa 10 nâng cao): Hỗn hợp khí A gồm có O2 và O3, tỉ khối của hỗn hợp khí A đối với hiđro là 19,2. Hỗn hợp khí B gồm có H2 và CO, tỉ khối của hỗn hợp khí B đốí với hiđro là 3,6.
a) Tính thành phần phần trăm theo thể tích các khí trong hỗn hợp A và hỗn hợp B.
b) Tính số mol hỗn hợp khí A cần dùng để đốt cháy hoàn toàn 1 mol hỗn hợp khí B. Các thể tích khí được đo trong cùng điều kiện nhiệt độ, áp suất.
Lời giải:
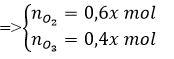
a) Đặt số mol O2 và O3 trong hỗn hợp A lần lượt là a moi và b mol.
Xét 1 mol hỗn hợp A => a + b = 1 (*)
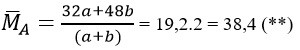
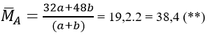
Theo đề bài ta có:

Giải hệ (*) và (**) ta được a = 0,6; b = 0,4 => %
\(V_{O_2}\)=60%; %
\(V_{O_3}\)=40%.
Giải tương tự ta tính được hỗn hợp B: %
\(V_{H_2}\)=80%; %VCO=20%
b) Các phản ứng xảy ra:
2H2 + O2 → 2H2O (1)
2CO +O2 → 2CO2 (2)
3H2 + O3 → 3H2O (3)
3CO + O3 → 3CO2 (4)
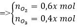
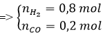
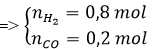
Đặt số mol của A cần dùng để đốt cháy 1 mol B là x mol

Trong 1 mol hỗn hợp B
![]()
Từ (1), (2), (3) và (4)

Áp dụng định luật bảo toàn khối lượng ta có:
mA + mB =
\(m_{CO_2}\)+
\(m_{H_2O}\) => mB = 16 => x = 5/12 ≈ 0,416 (mol)
-----------------------------------
Trên đây VnDoc.com đã giới thiệu tới bạn đọc tài liệu: Giải bài tập Hóa 10 nâng cao bài 42. Để có kết quả cao hơn trong học tập, VnDoc xin giới thiệu tới các bạn học sinh tài liệu Giải bài tập Toán 10, Giải bài tập Vật Lí 10, Giải bài tập Sinh học 10, Giải bài tập Hóa học 10 mà VnDoc tổng hợp và đăng tải.