Giải bài tập Hóa 10 nâng cao bài 30
Hóa học 10 - Clo
VnDoc mời các bạn học sinh tham khảo tài liệu Giải bài tập Hóa 10 nâng cao bài 30, tài liệu gồm 4 bài tập trang 125 SGK kèm theo đáp án sẽ giúp các bạn học sinh học tốt môn Hóa học một cách đơn giản hơn. Mời thầy cô và các bạn học sinh cùng tham khảo.
Giải bài tập Hóa 10 nâng cao bài 25
Giải bài tập Hóa 10 nâng cao bài 26
Giải bài tập Hóa 10 nâng cao
Bài 1 (trang 125 sgk Hóa 10 nâng cao): Tìm câu đúng trong các câu sau đây:
A. Clo là chất khí không tan trong nước.
B. Clo có số oxi hóa -1 trong mọi hợp chất.
C. Clo có tính oxi hóa mạnh hơn brom và iot.
D. Clo tồn tại trong tự nhiên dưới dạng đơn chất và hợp chất.
Lời giải:
Chọn C.
Bài 2 (trang 125 sgk Hóa 10 nâng cao): Hãy nêu những phản ứng hóa học để chứng tỏ rằng clo là một chất oxi hóa rất mạnh. Vì sao clo có tính chất đó?
Lời giải:
+ Phản ứng minh họa tính oxi hóa mạnh của clo là:
+ Clo có tính oxi hóa mạnh là do nó có ái lực với electron lđn, nguyên tử clo rất dễ thu 1 electron để trở thành ion Cl-, có cấu hình electron bền vững của khí hiếm argon (Ar).
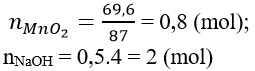
Bài 3 (trang 125 sgk Hóa 10 nâng cao): Cho 69,6 gam mangan đioxit tác dụng hết với dung dịch axit clohiđric đặc. Toàn bộ lượng clo sinh ra được hấp thụ hết vào 500ml dung dịch NaOH 4M. Hãy xác định nồng độ mol của từng chất trong dung dịch thu được sau phản ứng. Coi thể tích dung dịch không thay đổi
Lời giải:
Ta có:

Phản ứng:

=> nCl2= nMnO2 = 0,8 (mol)

Nồng độ mol/l của từng chất trong dung dịch sau phản ứng:
![]()
Bài 4 (trang 125 sgk Hóa học 10 nâng cao): Hoàn thành các phương trình hóa học dưới đây và nêu rõ vai trò của clo trong mỗi phản ứng:
a) FeCl2 + Cl2 -> FeCl3
b) Cl2 + SO2 + H2O -> HCl + H2SO4
c) KOH + Cl2 -> KCl + KClO3 + H2O
d) Ca(OH)2+ Cl2 -> Ca(ClO)2 + CaCl2 + H2O.
Lời giải:
![]()
(Cl2 là chất oxi hóa)
![]()
(Cl2 là chất oxi hóa)
![]()
(Cl2 vừa là chất oxi hóa vừa là chất khử)
![]()
-----------------------------------
Trên đây VnDoc.com đã giới thiệu tới bạn đọc tài liệu: Giải bài tập Hóa 10 nâng cao bài 30. Để có kết quả cao hơn trong học tập, VnDoc xin giới thiệu tới các bạn học sinh tài liệu Giải bài tập Toán 10, Giải bài tập Vật Lí 10, Giải bài tập Sinh học 10, Giải bài tập Hóa học 10 mà VnDoc tổng hợp và đăng tải.
